Тема роботи: Поняття про якість. Споживчі
властивості та показники якості товарів
Мета роботи: Вивчити природу та класифікацію споживчих властивостей,
показників якості товарів.
Якість – це сукупність характеристик продукції, товарів, послуг
які стосуються здатності задовольняти встановлені і передбаченні потреби.
На сьогодні створені системи
Якості, які гарантують стабільність і своєчасність надходження товарів.
Важливою стає не лише якість товарів, а й якість організації виробництва, тобто
взаємодії ї навколишнім світом.
В Україні на різних етапах переходу до ринкових відносин
ставлення до якості було різним. В перший період держава втратила управління
якістю, допустила зниження обсягів виробництва більшістю підприємств, що
призвело до значного спустошення ринку. Порожній ринок заповнився
низькоякісними, але дешевими товарами. На сучасному ринку при його насиченості
імпортними товарами вітчизняна продукція повинна витримувати конкуренцію, що
може бути забезпечено її високою якістю та конкурентоздатністю.
Вимоги до якості являють собою кількісну або якісну
характеристику товарів, визначену нормативною документацією, яка виражається
показниками якості.
Одиничні – призначенні для зазначення простих властивостей
товарів. Комплексний показник характеризує декілька властивостей товару.
Одиничні показники можуть бути
відносними і базовими. Відносний показник визначається співвідношенням фактично
визначеного показника якості є відносною
характеристикою якості, яка ґрунтується на порівняні значень оцінюваних
показників якості продукції з базовими значеннями. Базові показники являють
собою показники, які характеризують якість товару, прийнятого за еталон.
Вибір базових зразків є однією з основних операцій оцінювання
технічного рівня і якості товарів. Результат оцінювання залежить від
правильного обґрунтування вибору базового зразка. Базовий зразок має
властивості, які характеризують активний рівень якості товару на визначений
період часу.
Показники можуть мати номінальне, відносне, допустиме, граничне
значення.
Номінальне значення – це регламентоване значення показника
якості, від якого ведеться відлік допустимих відхилень.
Допустиме відхилення – встановлені границі відхилень, які
відображені в НТД і визначаються шляхом співставлення фактичних і номінальних
значень показника.
Завдання 1. Визначте основні, значимі та не значимі споживчі властивості для
запропонованих викладачем непродовольчих та продовольчих товарів.
Завдання 2. На основі наведених експертних оцінок, розрахуйте коефіцієнти
вагомості основних показників споживчих властивостей взуття. Проаналізуйте
отримані результати.
Таблиця Розрахунок коефіцієнтів вагомості
|
Властивості |
Ранги проставлені
експертами (1-5 балів) |
|
Сума |
|
Коефіцієнт |
|||||||
|
1 |
2 |
3 |
4 |
5 |
6 |
7 |
8 |
Рангів |
Вагомості |
|||
|
Антропометр-ричні
|
5 |
1 |
5 |
5 |
3 |
4 |
4 |
2 |
|
|
||
|
Фізіологічні |
1 |
4 |
3 |
1 |
5 |
2 |
3 |
3 |
|
|
||
|
Гігієнічні |
3 |
3 |
1 |
3 |
4 |
1 |
2 |
5 |
|
|
||
|
Естетичні |
4 |
2 |
4 |
4 |
2 |
5 |
5 |
1 |
|
|
||
|
Довговічності |
2 |
5 |
2 |
2 |
1 |
3 |
1 |
4 |
|
|
||
Коефіцієнт вагомості визначається за формулою:

де, N-кількість експертів;
Rij - ранг, присвоєний i-тій
властивості j-им експертом;
n- кількість споживчих властивостей.
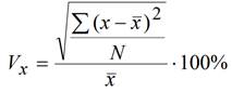
Для визначення ступеня узгодженості оцінок, що дали експерти
необхідно визначити значення коефіцієнта варіації, який розраховується за
наступною формулою:

де, Vx - коефіцієнт варіації даних
експертами оцінок вагомості властивості;
х- значення даної j-тим експертом оцінки вагомості властивості;
- середнє значення суми всіх рангів;
Вважається, що узгодженість оцінок експертів висока, якщо
V < або = 10%,
вище середньої - V= 11-15%,
середня -V=16-25%,
нижча середньої - V=26-35%,
низька - V > 35%.
1. Що таке «якість» і її місце в системі технічного регулювання?
2. Які складові піраміди якості?
3. Як класифікуються чинники, що впливають на якість продукції?
4. Які чинники впливають на формування якості на стадії
проектування продукції (послуги)?
5. Які чинники впливають на якість продукції в процесі
виготовлення?
6. Що таке «показник якості»?
7. На які види поділяють показники якості?
8. Яке значення можуть мати показники якості?