В нерелятивістській
квантовій механіці існує рівняння яке, як і другий
закон Ньютона для класичної механіки є основоположним і не виводиться, а постулюється.
Таким є рівняння Шредінгера.
• Рівняння Шредінгера – це основне рівняння квантової механіки.
•
Рівняння Шредінгера дозволяє визначити хвильові функції частинок,
які рухаються в силових полях.
•
Рівняння Шредінгера є постулатом, справедливість якого
підтверджується тим, що всі наслідки, які випливають з нього добре узгоджуються
з експериментальними результатами.
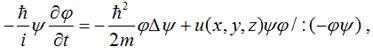
Загальне рівняння Шредінгера має вигляд:
![]()

![]()
Для задач,
в яких потенціальна енергія не залежить від
часу:
,
наприклад рух електрона в атомі, необхідно
знати стаціонарні (які не містять часової залежності) розв’язки рівняння Шредінгера.
Щоб знайти стаціонарне рівняння Шредінгера
представимо псі-функцію частинки у вигляді добутку відокремлених змінних:
.
Тут:
![]()
Підставимо таку псі-функцію у загальне рівняння Шредінгера:

.
Оскільки,
ліва частина даного виразу залежить лише від часу, а права – лише від
координат, то вираз перетворюється у рівність, якщо обидві частини його рівні
тій самій постійній величині (-W):


Перепишемо
стаціонарне рівняння у стандартному вигляді:
![]()



1. Для вільної частинки
потенціальна енергія рівна нулю:
![]()
2. Повна енергія частинки
рівна її кінетичній енергії:
.
3. Направимо вісь Ох вздовж вектора швидкості розглядуваної частинки, тоді
стаціонарне рівняння Шредінгера набере вигляду:

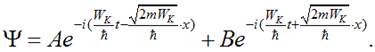
4. Розв’язком
такого диференціального рівняння є функція:

5. Враховуючи, що розв’язком загального рівняння Шредінгера
є вираз:
,
підставивши вираз для
в
останню формулу,
одержимо розв’язок загального рівняння Шредінгера для
вільної частинки:

Висновки з розв’язку.
1. Плоска хвиля у
комплексному представленні має вигляд:
,
тому видно, що розв’язок
для
є суперпозицією двох плоских хвиль з
однаковими частотами:

2. Одна з хвиль, з амплітудою
А, поширюється в напрямі осі Ох (бо хвильове число –
від’ємне), друга – з амплітудою В, поширюється в
протилежному напрямі (хвильове число – додатне).
3. Хвильове число для вільної частинки рівне:
![]()
4. Враховуючи, що
,
вираз для k набере
вигляду:
![]()
5. Співпадіння виразу “ k
” для вільної частинки і плоскої хвилі ще раз доводить, що у квантовій механіці вільній частинці відповідає плоска хвиля де
Бройля.
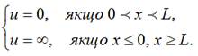
Потенціальна яма - вид
потенціального поля, у якому потенціальна енергія частинки має наступні
значення (див. рис.3. 1):


Рис. 3. 1
Зауваження.
частинка
набути не може, отже, поза межами ями частинка не існує.
Застосуємо до частинки в потенціальній ямі (електрона в бруску
провідника) стаціонарне рівняння Шредінгера:
![]()
Для
одномірного випадку в межах ями (
) дане
рівняння запишеться:

Відомо,
що:
![]()

Тоді
рівняння набере вигляду:
![]()
Розв’язком такого диференціального рівняння
є вираз:
![]()
Розглянемо розв’язок диференціального рівняння для частинки в
потенціальній ямі:
![]()
В точці
,
бо поза
ямою частинка не існує.
![]()
тому наш
розв’язок матиме вигляд:
![]()
Для того, щоб дана рівність виконувалась треба, щоб
![]()
В точці
,
бо поза
ямою частинка не існує.
У випадку, коли
,
розв’язок набере вигляду:
![]()
Якщо вважати, що
, тоді:
![]()
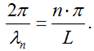
тобто в
потенціальній ямі k повинно набувати
лише такі дискретні значення, які задовольняють умову:
![]()
Виходячи
з попереднього:
![]()
Висновок. Хвильове число частинки в
потенціальній ямі є квантованим.
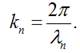
Відомо, що:
![]()
З іншого
боку хвильове число визначається:

Прирівнявши
праві частини даних виразів, одержимо:

Звідки:
![]()
Висновок. Довжина хвилі де Бройля
для даної частинки повинна бути такою, щоб в ямі шириною L вкладалось ціле число півхвиль де Бройля, що їй відповідають.
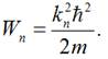
З умови потенціальної ями відомо, що
![]()
З цього
рівняння знайдемо значення енергії частинки:

Підставивши
значення хвильового числа у таку формулу, одержимо:

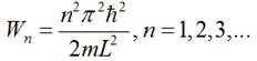
Висновок. Енергія частинки в
потенціальній ямі може мати лише дискретні значення, тобто є квантованою (n-головне квантове число).
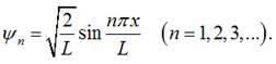
Для частинки в потенціальній ямі:
![]()
У
випадку, коли
,
хвильова функція запишеться:
![]()
де
![]()
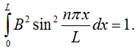
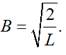
Щоб знайти коефіцієнт В застосуємо
умову нормування функції, яка в нашому випадку має вигляд:

Існує
табличний інтеграл:

Тоді з
останніх двох формул:

Отже, власні функції частинки в потенціальній ямі матимуть
вигляд:

V.І. Сходиноподібний
потенціальний бар’єр.
Нехай частинка
рухається вздовж осі Оx
і зустрічає потенціальний бар’єр, зображений на рисунку 3. 2.

Рис. 3. 2
Потенціальна енергія частинки
при x<0 U=0, а при x>0 U=U0.
1. Поведінка класичної частинки.
а) У
випадку, коли повна енергія частинки E1<U0, частинка
відіб’ється від бар’єру та полетить у зворотній бік з тією самою енергією, яку
вона мала спочатку.
б) Якщо
повна енергія частинки E2>U0,
частинка пройде над бар’єром, втративши частину своєї швидкості і буде рухатися
далі без перешкод.
2. Поведінка квантової частинки.
У випадку
E1<U0, частинка
проникне в бар’єр на певну глибину, причому її хвильова функція буде
зменшуватися за експонентою і тільки потім поверне
назад.
Глибиною проникнення
називається відстань, на якій ймовірність
виявити частинку зменшується в e разів.
Приклад. Для
електронів у металі
, тобто
вільні електрони вилітають за межі металу на відстань такого порядку, після
чого повертаються назад. Отже, металеве тіло виявляється оточене з усіх боків
хмарою електронів.
V.ІІ. П –
подібний потенціальний бар’єр.
Розглянемо випадок потенціального бар’єру конечної ширини d, який зображено на рисунку 3. 3.

Рис. 3. 3
1. Класична частинка відбивається так само, як від
нескінченного бар’єру. Ймовірність
пройти крізь бар’єр у класичної частинки дорівнює нулю.
2.Квантова частинка може опинитися за бар’єром навіть
при Е1<U0 та відбитися від нього навіть при Е2>U0.
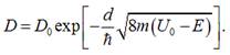
Ймовірність того, що частинка опиниться за бар’єром,
визначається коефіцієнтом прозорості:

Ймовірність того, що квантова
частинка відіб’ється від бар’єру і полетить у зворотному напрямку
визначається коефіцієнтом відбивання:
![]()