ЛАБОРАТОРНА РОБОТА № 3
Визначення лінійного коефіцієнта поглинання і оптичної ширини
забороненої зони напівпровідника
Теоретичні
відомості
Поглинанням світла називають зменшення
інтенсивності світла, що проходить через речовину, внаслідок його взаємодії з
частинками речовини. Коефіцієнтом поглинання називають відношення світлового
потоку, що поглинувся шаром речовини, до того світлового потоку, який у цей шар
увійшов. Поглинання світла супроводжується нагріванням речовини, йонізацією,
фотохімічними процесами чи збудженням атомів та молекул.
Коефіцієнтом пропускання називають відношення
світлового потоку, що вийшов із шару речовини до потоку, що падає на вхідну
поверхню.
Поглинання світла описують законом Бугера–Ламберта–Бера:
![]()
Тут d– товщина шару
речовини, на вході якої інтенсивність світла I0, а на виході I,
– показник поглинання на одиницю концентрації
речовини. Добуток
показника поглинання
на концентрацію
називають лінійним
коефіцієнтом поглинання:
![]()
Записуючи закон Бугера–Ламберта–Бера
із використанням лінійного коефіцієнта поглинання, отримаємо:
![]()
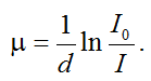
Логарифмуючи цей вираз та
виділяючи одержимо вираз для лінійного коефіцієнта поглинання:

Хід роботи
1. Увімкнути джерело світла.
Записати значення d – товщини зразка.
2. Встановити барабан спектроскопа
на поділку N=2800. За градуювальним
графіком перевести ці покази в довжину хвилі
.
3. Перемкнути перемикач на
вимірювання
, зняти покази наноамперметра та
занести їх до таблиці.
4. Перемкнути перемикач на вимірювання
, зняти покази наноамперметра та
занести їх до таблиці.
5. Повернути барабан спектроскопа так, щоб зменшити його покази на
50 поділок та повторити пункти 3 і 4. Виміри проводити доти, поки покази наноамперметра
у позиції перемикача
не стануть нульовими.
6. За вище приведеною
формулою порахувати лінійний коефіцієнт поглинання для кожної
точки вимірювання. Результати занести у таблицю.



Результат розрахунку подати в джоулях та електрон-вольтах.
Контрольні запитання
1. Назвіть характерні особливості взаємодії світла з речовиною.
2. Які величини називають коефіцієнтами відбивання, пропускання,
поглинання?
3. Запишіть закон Бугéра–Ламбéрта–Бéра
та дайте означення всіх змінних, які туди входять.
4. Які речовини називають напівпровідниками та яка ширина їхньої
забороненої зони?
5. Дайте означення лінійного коефіцієнта поглинання.
6. Розкажіть хід виконання роботи.