ЛАБОРАТОРНА РОБОТА № 1
Дослідження лазера та вимірювання кута розходження світлового
пучка
Теоретичні відомості
Лазери –
це генератори електромагнітного випромінювання оптичного діапазону, дія яких
ґрунтується на використанні індукованого (вимушеного) випускання. В деяких
квантових системах можна штучно створити такі умови, за яких населеність
верхнього енергетичного рівня
буде більшою, ніж
нижнього рівня
. Такий стан системи називають станом з інверсною населеністю
рівнів, а середовище – інверсним, або активним. Якщо в активне середовище
вводиться фотон з частотою

то це викликає лавиноподібне народження нових
фотонів за рахунок переходу атомів із стану 2 в стан 1. Зрозуміло, що
в середовищі відбуватимуться також зворотні переходи, але їх
кількість залишається досить малою, тому що середовище інверсне.
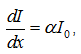
У кожній
області простору, заповненій активною речовиною, зростання інтенсивності
електромагнітної хвилі буде пропорційне енергії самої хвилі:


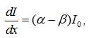
У
реальних речовинах завжди є фактори, які послаблюють інтенсивність - розсіяння
на неоднорідностях,
збудження іншої пари рівнів, невелике число
переходів з 1 у 2, тощо. Тому з урахуванням поглинання
останню формулу можна записати так:

Розв’язком такого рівняння
є закон зміни сумарної інтенсивності залежно від відстані, яку проходить хвиля
в активній речовині:
![]()
Як видно, обов’язковою
умовою квантового підсилення, крім інверсної заселеності рівнів, є виконання
умови
, тобто випускання енергії активними атомами повинно з
надлишком компенсувати втрати електромагнітної енергії хвилі у речовині. Для
створення інверсної населеності рівнів використовується три або чотирирівнева
система. Причому серед рівнів повинен бути один, час життя на якому більший ніж
на інших (метастабільний рівень). Ширина
рівня
та час життя атома на ньому пов’язані
співвідношенням невизначеностей Гейзенберга:

Якщо час
життя атома на рівні великий, то цей метастабільний рівень буде досить вузьким.
Нехай існує трирівнева система (рис.1), де Е1 - основний рівень, Е2
- збуджений метастабільний (вузький) рівень, Е3 - збуджений короткоживучий
(широкий) рівень. Спрямуємо на середовище пучок електромагнітних хвиль з
енергією кванта:
![]()
тоді частина атомів з
енергетичного рівня 1 і перейде на рівень 3 (здійсниться так звана накачка).
Під час накачки відбуваються поряд із зворотними переходами з 3 в 1, самочинні
переходи з 3 у 2, які інтенсивно збільшують
населеність рівня 2. Час життя на цьому рівні досить великий, і інверсія
поступово зростає. Слабка зовнішня дія: фотон з частотою

викликає велику кількість вимушених
випускних переходів
. Внаслідок цього система випускає когерентне випромінювання,
підсилюючи вхідний сигнал. Система з інверсною населеністю рівня 2 може і сама,
без зовнішньої дії, випускати випромінювання. Цілком ймовірно, що самочинно
відбувається хоча б один перехід
, який викличе лавиноподібне

зростання інтенсивності
випромінювання.
Існують
різні типи лазерів, але робота кожного з них базується на однакових фізичних
принципах, відмінність полягає головним чином у методах збудження активного
середовища, тобто у способі накачки. Так у твердотілих
лазерах застосовують оптичну накачку, у газових – електричний розряд, у
напівпровідникових – інжекцію носіїв заряду.
Газові
лазери мають ряд переваг порівняно з іншими типами генераторів
електромагнітного випромінювання. У них активне середовище знаходиться у стані
газорозрядної плазми, тобто частинки становлять сукупність іонів та електронів.
Вони досить слабко взаємодіють між собою, а це означає, що лінії самочинного
випускання та поглинання дуже вузькі. Тому ширина лінії генерації газового
лазера мінімальна порівняно з іншими генераторами. З другого боку, газ в
оптичному відношенні є однорідним середовищем. Тобто у формулі
мале. У даній роботі
досліджується гелій-неоновий лазер. Розглянемо діаграму нижніх енергетичних
станів гелію та неону (рис.2).
У
газорозрядній трубці лазера, заповненій сумішшю гелію та неону, при виникненні
електричного розряду відбувається збудження атомів. В основному збуджуються
атоми гелію. Оскільки їх концентрація в 10 разів більша, ніж концентрація
неону. При збудженні за рахунок електронних ударів атоми гелію переходять з
основного стану Е0’ у перші збуджені стани Е2’ і Е3’. Енергія перших збуджених станів гелію практично збігається з
енергією деяких станів неону (E2 і Е3). Збіг цих рівнів приводить
до того, що метастабільні атоми гелію при співударах з незбудженими атомами неону
переводять їх на один з рівнів збуджених станів Е2 і Е3.
Тим самим забезпечується інверсія населеності рівнів станів Е2 і Е3. Тому за певних умовах середовище стає оптично
активним. Дуже важливим для роботи гелій – неонового лазера є те, що переходи
атомів неону з рівнів Е3 і Е2 на рівень Е1
надзвичайно швидкі, тому концентрація атомів на цих рівнях завжди дуже мала.
Найчастіше лазерне випромінювання виникає внаслідок переходів (відповідно b, c, a. Рис.2):

Взагалі
генерація може спостерігатись одночасно на кількох лініях. Підбором системи
дзеркал резонатора, введенням диспергуючого або
вибірково поглинаючого елемента можна створити оптимальні умови генерації для
однієї лінії та заглушити для інших. Таким чином, у гелій-неоновому лазері
гелій виконує функцію резервуара збудження, яке резонансно передається атомам
неону. Неон є робочою речовиною. У газових лазерах замість неону можна
використовувати й інші інертні гази. Схеми їх рівнів подібні до розглянутих
вище. Рівні випускання газових лазерів мають спектральний діапазон від
ультрафіолетової області до інфрачервоної.
Гелій – неоновий лазер складається з оптичного резонатора,
активного середовища ІІІ захисної оболонки. Оптичний резонатор утворений
сферичним І (рис.3) та плоским 6 дзеркалами, жорстко

закріпленими у стальних фланцях, які скріплені між собою
інваровими стержнями 8. За допомогою юстувальних гвинтів 7 положення дзеркал
відносно осі резонатора можна змінювати у невеликих межах. Активний елемент 9
(газорозрядна трубка, заповнена сумішшю гелію і неону, завдовжки 25 см з
підігрівним катодом 2 і анодом 4) закріплений між напрямними стержнями 8. Торці
газорозрядної трубки відшліфовані під кутом Брюстера
1 закриті вихідними вікнами 5 з оптичного кварцового скла. Оптичний резонатор з
активним елементом розташований в захисній оболонці 3, на одному кінці якої
закріплено роз’єднувач для кабелів високої напруги та напруги розмикання. Вихід
лазерного випромінювання здійснюється з боку напівпрозорого плоского дзеркала
6.
Для живлення розрядної трубки використовується електронний
стабілізатор. Лазер працює на довжині хвилі 632,8 нм і дає випромінювання
потужністю не менше 2 МВт. Незважаючи на невелику вихідну потужність,
яскравість пучка лазерного випромінювання на кілька порядків більша за
яскравість звичайної електричної лампи розжарення, тому при роботі з лазером
слід бути обережним. Виконувати правила техніки безпеки. Однією з основних
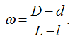
властивостей лазерів є малий кут розходження пучка. Якщо пучок має форму
конуса, то тілесний кут можна визначити, вимірявши відповідний плоский кут за
формулою:

За умови
зв’язок між тілесним і плоским кутами з
достатньою точністю виражається формулою:

![]()


Хід роботи
І. Виміряти кут розходження пучка лазерного випромінювання (рис. 4.).
1. Підготувати лазер до виконання роботи, для чого перевірити
відсутність механічних пошкоджень кабелю та шнура живлення блока 3.976.013-02,
якість заземлення. Тумблер „сеть” перевести в нижнє положення, впевнитись
у міцності закріплення лазера на оптичній лаві.
2.
Увімкнути прилад, дотримуючись такого порядку: а) увімкнути вилку шнура
живлення у мережу 220 В; б) перевести тумблер „сеть”
у верхнє положення (при цьому спалахне сигнальна лампочка); в)прогріти прилад
протягом 3-5 хв.; г) здійснити запалення газорозрядної трубки, натискуючи
кнопку „запуск”
(при цьому повинна спалахнути лампочка „излучение”).
3.
Виміряти на екрані діаметр плями D та відстань L. Перемістити екран на відстань
0,4–0,5 м від лазера і також виміряти діаметр d та відстань l. За відповідними формулами обчислити
тілесний кут розходження лазерного пучка.
|
№ п/п |
d, м |
l, м |
D, м |
L, м |
w, рад |
W, |
|
1 |
|
|
|
|
|
|
|
2 |
|
|
|
|
|
|
|
3 |
|
|
|
|
|
|
ІІ. Дослідити поляризацію лазерного випромінювання.
Встановити
на оптичній лаві між лазером та екраном поляроїд. Обертанням поляроїда
домогтися мінімальної освітленості на екрані. Визначити напрям площини
поляризації випромінювання (напрям площини поляризації поляроїда задано).
Зробити висновок.
Контрольні запитання
1. Чим відрізняються спонтанне та індуковане випускання
випромінювання?
2. Чому в
лазерах не використовується дворівнева система?
3. За яких умов відбувається генерація світла в активному
середовищі?
4. Які переваги мають газові лазери?
5. У чому полягають переваги лазерного випромінювання порівняно
з іншими видами випромінювання?
6. Назвіть області практичного застосування лазерів.