Квантова статистика Фермі – Дірака
розроблена для вільних електронів у металі (електронів провідності).
Загальне рівняння Шредінгера
для частинки, яка володіє енергією і рухається в потенціальному полі, має
вигляд:

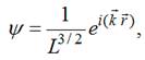
Враховуючи, що для вільного електрона U=0, стаціонарне рівняння Шредінгера для вільного електрона у кубічному зразку металу
з ребром L запишемо:
![]()
Розв’язком такого диференціального рівняння є просторова
хвильова функція, яка визначається виразом:



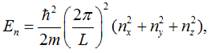
Хвильова функція електрона буде
неперервна і однозначна в об’ємі з ребром L,
якщо компоненти вектора
будуть мати
вигляд:
![]()
де nx, ny, nz
– цілі числа, які незалежно одне від
іншого можуть приймати значення:
![]()
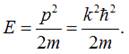
Враховуючи, що у прямокутній системі
координат хвильовий вектор електрона можна представити як:
![]()
Тому:
![]()
Тоді енергію вільного електрона в металі можна
представити у вигляді:

де n – головне квантове число електрона в металі, індекс
біля n показує напрям руху електрона в прямокутній системі
координат.
Введемо уявний фазовий простір з осями
![]()
Поверхня рівних енергій (яка об’єднує точки фазового
простору з однаковими значеннями енергії) в такому просторі матиме форму сфери
з радіусом:
![]()
Враховуючи принцип Паулі, число станів
можливих для існування електрона у металі, енергія яких не перевищує значення En , рівне
подвоєному об’єму сфери з радіусом nE і
визначається виразом:

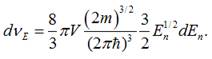
Знайдемо число можливих станів у
інтервалі dEn :

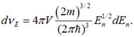
Після спрощення одержимо:

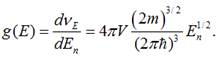
Густиною станів називають відношення
числа станів, можливих для існування електрона у металі, в інтервалі dEn до величини цього інтервалу:

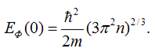
Енергія, нижче якої всі енергетичні
рівні електронів у металі є заповнені при Т=0,
називається енергією або рівнем Фермі при абсолютному нулеві і визначається
виразом:

Енергія Фермі залежить від
концентрації електронів у металі і враховуючи її середнє значення
одержимо:
![]()
Зауваження:
1) середня енергія електронів у
кристалі при абсолютному нулі:
![]()
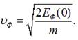
2) середня швидкість електронів
у кристалі при абсолютному нулі:

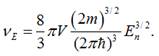
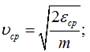
3) максимальна швидкість електронів
у кристалі при абсолютному нулі:


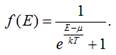
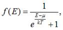
З фізичної точки зору f(E) являє собою густину ймовірності заповнення електронами рівня з
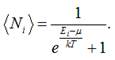
енергією Е, або середнє число
електронів, які знаходяться в стані з енергією Е:


Зауваження. Частинки, що підлягають розподілу Фермі – Дірака
мають півцілий спін і називаються ферміонами
(електрони).
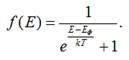
Розглянемо функцію Фермі – Дірака:

![]()

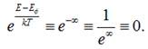
Тому:
![]()
![]()
![]()
Тому:
![]()
3. Графічне зображення функції Фермі – Дірака при Т=0 подано на рис. 8. 1:


Рис. 8.1
Висновок. При Т=0
енергетичні рівні електронів у кристалі нижче рівня Фермі заповнені повністю з
ймовірністю рівною одиниці. Рівні з енергією вищою за рівень Фермі заповнені з
ймовірністю рівною нулю.
![]()
![]()
Враховуючи, що

одержимо:
![]()
Висновок. Рівень Фермі при
довільній температурі кристала співпадає з тим енергетичним рівнем електронів у
кристалі, ймовірність заповнення якого рівна 1/2.
2. Графічне зображення функції Фермі – Дірака при Т≠0 подано на рис. 8. 2:

Ймовірність заповнення електронами
енергетичних
рівнів при ![]()
Рис. 8. 2
Зауваження. Зміна значення функції Фермі – Дірака від 1 до 0
при Т≠0 відбувається в околі
енергії ЕФ для даного кристала.