Лекція 1. Загальні відомості про технологічне обладнання для
переробки сировини і напівфабрикатів
1. Основні напрямки і
перспективи розвитку харчової промисловості.
2. Сировина, яка використовується
для виробництва продуктів харчування.
3. Структура та класифікація
основних видів обладнання.
4. Особливості організації потокового
виробництва та класифікація потокових ліній.
5. Загальні відомості про
технологічні процеси.
1. Основні напрямки і
перспективи розвитку харчової промисловості
Поява нових технологій
виробництва харчових продуктів викликає необхідність створення нового
технологічного обладнання.
Все більшого
розповсюдження набуває технологічне обладнання, яке оснащене системами
активного контролю і оберненого зв’язку, тобто системами, які збирають і
об’єктивно фіксують інформацію про властивості сировини, що переробляється в
даний момент, і в разі необхідності можуть змінюватися режими обробки і таким
чином забезпечувати найкращі варіанти підбору напівфабрикату, а значить і
готового продукту.
Зростає значення
вирішення проблеми якості продукції, що виготовляється. Мова йде про оцінку
машин не тільки по продуктивності, надійності, зовнішньому вигляді або кольорі
продукту, але і про збереження всіх цінних речовин в процесі її переробки і
зберігання.
До основних вимог, що
ставляться до конструкції при створенні нового технологічного обладнання
необхідно віднести наступні:
- технологічне обладнання
повинне мати високі техніко-економічні показники (продуктивність, маса,
матеріалоємність, витрати матеріалів та інші
витрати);
- конструкція машин і
апаратів має відповідати вимогам сучасної прогресивної технології (форма,
розміри, швидкості і траєкторії руху робочих органів, а також такі параметри,
як температура теплоносія), відповідати фізико-механічним і хімічним
властивостям продукту в робочому режимі;
- робочі органи машин
повинні виготовлятися із корозійностійких матеріалів, і повинні мати високу
зносостійкість;
- конструкція деталей
повинна бути технологічною;
- деталі з великими
швидкостями обертання повинні бути статично і динамічно зрівноваженими;
- машини і апарати не
повинні мати „застійних” зон, де міг би накопичуватися продукт;
- конструкція машин і
апаратів повинна задовольняти вимогам з охорони праці і пожежної безпеки.
2. Сировина, яка використовується для виробництва
продуктів харчування
При виробництві продуктів
харчування використовується сировина, короткі відомості про яку приведені нижче:
- сировина для отримання
цукру являє собою цукровий буряк та цукрову тростину;
- сировиною для
виготовлення крохмалю є зерно злакових рослин (кукурудза, пшениця, рис), бульби
картоплі, стебло хлібного дерева(пальми) і т.д.;
- сировиною для
хлібопекарного виробництва є такі інгредієнти: борошно, сіль, вода, цукор,
жири, дріжджі і т.д. Борошно виготовляється як із пшениці і жита так і з вівса;
- сировиною для
кондитерських виробів є цукор, глюкоза і патока, мед, жири, молоко і молочні
продукти, яйця і яйце продукти, какао-боби, горіхи, фруктово-ягідний
напівфабрикат, мука, крохмаль, смакові і ароматичні речовини, хімічні розпушувачі;
- сировиною для
макаронних виробів є пшенична мука, вода і різноманітні добавки збагачення
(фруктові і овочеві соки та пасти, ароматичні речовини тощо);
- сировиною в бродильному
виробництві є солод (пророщене зерно злакових культур);
- сировиною в оліє-жировому
виробництві є зерна олійних культур (соняшника, бавовнику, льону, коноплі,
гірчиці та інших культур);
- основною сировиною для
плодоовочевих консервів є яблука, груші, вишні, черешні, виноград, смородину,
аґрус, а також овочі: зелений горошок, квасок, картопля, болгарський перець,
огірки, помідори, баклажани, часник, цибуля. Як інгредієнти використовуються
кислоти, цукор, перець, сіль, спеції, хрін та інші компоненти.
3. Структура та класифікація основних видів обладнання
Все промислове обладнання поділяється на п‘ять
класів:
- машини-двигуни та інші
енергетичні машини та установки;
- транспортні машини та устаткування;
- технологічне обладнання;
- лічильно-аналітичні машини та ЕОМ;
- керуючі машини.
Машини всіх цих класів
застосовують в харчовій промисловості. В даному курсі предметом вивчення є
технологічне обладнання, яке по характеру дії на продукт може бути розділено на
апарати і машини.
Характерною ознакою апаратів є
наявність реакційного простору або робочої камери, де відбуваються
теплообмінні, масообміні, фізико-хімічні, біохімічні та інші процеси, які
викликають зміни хімічних і фізичних властивостей або агрегатного стану
продукту, що обробляється.
Особливістю машин є наявність
рухомих робочих органів, які безпосередньо діють на продукт. Причому внаслідок
механічної дії на продукт властивості
його, як правило, не змінюються, за виключенням форми, розмірів та інших
фізичних параметрів.
Такий розподіл технологічного
обладнання на машини і апарати має умовний характер, так як устаткування може
мати одночасно різні ознаки.
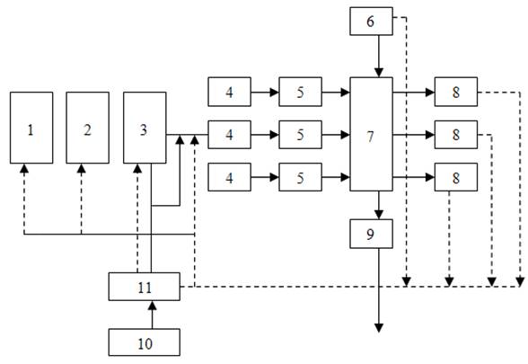
Структура технологічної
автоматичної машини (рис.1.1.) крім керуючих пристроїв і механізмів містить
розподілювач енергії між виконавчими органами 3, які часто суміщають з
транспортними передачами. В структурі приведеної на рисунку машини передбачено
виконання трьох операцій трьома виконавчими механізмами 4 з робочими органами
5.
Подача в машину сировини або
штучних об‘єктів здійснюється дозувальним устаткуванням 7. обробка продукту або
штучних об‘єктів здійснюється в камері або місткості 6. для контролю якості
виконання проміжних операцій в автоматичних машинах передбачаються контрольні
пристрої 8; для контролю якості готового продукту – пристрої 9. Вони дають
сигнали на дозатор і регулятору 11, який може давати команди корекції на один
із механізмів 1…5.

Рисунок 1.1 –
Структура технологічної машини
За характером робочого циклу
машини і апарати бувають безперервно-потокові, періодичної і циклічної дії.
Машини і апарати безперервно-потокової
дії призначені для виготовлення і обробки нештучної продукції, яка рухається безперервно
(шнекові формові процеси для макаронів, просіювачі тощо).
Машини і апарати періодичної дії
призначені для обробки в основному порційної продукції. В них продукт підлягає
обробці на протязі певного проміжку часу, після чого виводиться з них, і
подається для обробки наступна порція. До таких машин відносяться місильні
машини періодичної дії, варильні котли та інше обладнання.
В машинах циклічної дії в основному
обробляється штучна продукція. Робочі органи цих машин працюють з повторними
циклами.
Все технологічне обладнання за функціональною ознакою
поділяється на наступні групи:
- обладнання для миття і очищення
сировини і тари;
- обладнання для подрібнення
харчових продуктів;
- вагове і дозуюче обладнання;
- обладнання для перемішування і
отримання однорідних мас;
- обладнання для проведення
дифузійних процесів;
- обладнання для теплової обробки
харчових продуктів;
- промислові печі;
- обладнання для пересування харчових
продуктів;
- обладнання для розділення сипких,
рідких і грубодисперсних харчових продуктів;
- обладнання для формування і
поштучного ділення пластичних харчових мас;
- обладнання для загортання,
пакування і фасування харчових продуктів;
- обладнання для герметизації
тари з харчовими продуктами.
4. Особливості організації
потокового виробництва та класифікація потокових ліній
Сучасне промислове виробництво
базується на трьох основних принципах: використання потокових методів
виробництва, використання прогресивної техніки, комплексна механізація і
автоматизація виробничих процесів.
В процесі комплексної механізації
і автоматизації виробництва окремі машини об‘єднують в агрегати і потокові
лінії.
Потоковою лінією називають
сукупність спеціалізованих технологічних машин, які розміщені відповідно до
певного технологічного процесу, працюють у заданому темпі роботи і зв‘язані між
собою транспортними пристроями.
За видом зв‘язку між машинами
потокові лінії поділяються на наступні типи:
- лінії з жорстким зв‘язком між
машинами і безпосередньою передачею об‘єкту від однієї машини до іншої. В таких
лініях всі машини працюють в одному ритмі з транспортними пристроями;
- лінії з гнучким зв‘язком між
машинами. В цих лініях робота кожної машини не є суворо залежною від вибраного
ритму роботи лінії. Між машинами встановлюються проміжні накопичувачі;
- лінії з напівгнучким зв‘язком.
Такі лінії розділяються на окремі ділянки, які складаються з груп машин з
жорстким зв‘язком. В свою чергу, ці ділянки між собою зв‘язані гнучким
зв‘язком.
За степеню механізації потокові
лінії поділяються на:
- механізовані – з повною
комплексною механізацією всіх технологічних, транспортних і встановлювально-знімальних
операцій. Тут залишаються ручними контроль і регулювання параметрів
технологічних процесів;
- автоматизовані – застосовуються
пристрої для автоматичного контролю і регулювання основних технологічних
процесів;
- автоматичні – являють собою
механізовані лінії, оснащені комплексом автоматичних пристроїв для контролю і
регулювання всіх технологічних операцій і керування машинами та агрегатами, які
входять в лінію, без застосування ручної праці.
За кількістю технологічних
операцій потокові лінії поділяються на :
- некомплексні, тобто такі, які об‘єднують
декілька операцій (до 10) технологічного процесу виготовлення продукту;
- комплексно-цехові, тобто такі,
які об‘єднують у своєму складі всі операції технологічного процесу виготовлення
продукту, що виконуються в даному цеху;
- комплексно-заводські, тобто
такі, які об‘єднують у своєму складі всі операції технологічного процесу
виготовлення продукту, що виконуються на заводі.
За кількістю найменувань виробів,
що виготовляються, (залежно від номенклатури) потокові лінії поділяються на:
- однопредметні, тобто такі, на
яких протягом тривалого часу в заданому ритмі виготовляється один і той же
виріб;
- багатопредметні, можуть
бути змінно потоковими і груповими потоковими.
5. Загальні відомості про технологічні процеси
Технологічний процес – частина
виробничого процесу, яка містить дії по змінні і наступному визначенню
фізичного стану предмету виробництва. Технологічні процеси складаються з
технологічних і допоміжних операцій.
Технологічна операція – закінчена
частина технологічного процесу, яка виконується на одному робочому місці одним
або декількома робітниками.
Допоміжні операції являють собою
транспортні, завантажувально-розвантажувальні та інші роботи.
Для складних виробничих процесів
складаються технологічні схеми, тобто графічне зображення технологічного
процесу за послідовністю виконання основних і допоміжних операцій, починаючи
від підготовки сировини і закінчуючи отриманням готових виробів.
Технологічна схема, що показує
види обладнання для виконання технологічних операцій, називається
машинно-апаратурною схемою (МАС), яка умовно поділяється на три ділянки:
підготовка сировини до виробництва, виготовлення напівфабрикатів і отримання
готових виробів.
Найбільш прогресивною формою
організації виробничих процесів є безперервно-потокове виробництво.
Впровадження потокових ліній дозволяє більш раціонально використовувати
виробничі площі і скоротити або відмінити потребу такого інвентарю, ящики,
стелажі.
Технологічні процеси харчових
виробництв можна розділити на дві групи:
- апаратні – процеси, які
відбуваються в технологічних апаратах (хімічні, термічні);
- машинні – процеси, які
відбуваються за допомогою механічної дії робочих органів машин на продукти, що
обробляються.
Розділення технологічного процесу
на складові елементи, робочі місця і машини, закріплення за кожним робочим
місцем визначених операцій і послідовної подачі пристроєм транспортування
продуктів до робочих місць дозволяє швидко створювати і використовувати спеціалізовані
машини.