Розділ 3.  Хімічна кінетика та рівновага.

 

3.1. Швидкість хімічної реакції. Фактори, які впливають на швидкість хімічної реакції

Хімічна реакція – це процес. Будь-який процес характе­ризується швидкістю.

Визначення. Швидкість гомогенної реакції, що відбува­ється в замкненому об᾿ємі, – це фізична величина, що визна­чається зміною концентрацій реагуючих речовин за одиницю часу.

Позначення: v або r (вимова ве або ер). Одиниці вимірю­вання: моль/(л · с), або моль·  ·  (вимова: моль на літр-се- кунду, або моль-літр у мінус першому степені секунда в мінус першому степені).

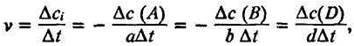
Визначальне рівняння середньої швидкості реакції

aА + bВ dD:

де а, b, d – стехіометричні коефіцієнти; , – зміна концент­рації певного компонента реакції (А, В, D) за проміжок часу

Швидкість хімічної реакції – величина додатна. Коли в рівнянні швидкості хімічної реакції враховуються зміни кон­центрації реагуючих речовин, у його правій частині ставлять знак мінус, тому що концентрації цих речовин зменшуються. Коли в рівнянні враховується зміна концентрацій речовин, які утворюються, в правій його частині ставлять знак плюс, оскільки концентрації речовин збільшуються.

Залежність швидкості від різних факторів.

Вплив при­роди реагуючих речовин. Сполуки з йонним або ковалентним полярним зв’язком у водних розчинах дисоційовані і тому взаємодіють між собою дуже швидко. Швидкість взаємодії сполук з неполярним зв’язком різна і за­лежить від хімічних властивостей. Наприклад, реакція водню з фтором протікає дуже швидко (з вибухом) за кімнатної темпе­ратури, а реакція водню з іодом відбувається повільно під час на­грівання.

Вплив стану реагуючих речовин.

Швидкість хімічної реакції залежить від площі зіткнення реагую­чих речовин. Чим більша площа, тим вища швидкість реакції. Щоб збільшити площу контакту між реагуючими речовинами, тверді речовини подрібнюють, рідкі перетворюють на пару.

Вплив концентрації реагуючих речовин.Чим більше часток реагуючих речовин знаходиться в одиниці об’єму, тим частіше відбуваються зіткнення між ними і тим вищою є швидкість реакції (хоч і не кожне зіткнення призво­дить до взаємодії).

Норвезькі вчені К.Гульдберг (1836 – 1900) та П.Вааге (1833 – 1900) у 1867 р. сформулювали закон діючих мас для ре­акції, яка відбувається внаслідок попарних зіткнень між моле­кулами.

Формулювання закону: швидкість хімічної реакції прямо пропорційна добутку концентращй реагуючих речовин, якщо ре­акція відбувається в результаті попарних зіткнень молекул

У реакції аА + bВ = dD цей закон описується кінетичним рівнянням:

дес(А) іс(В) – молярніконцентраціїречовинАіВ.,аі b – стехіометричнікоефіцієнтивхімічномурівнянні; k - константашвидкостіреакції.

Якщо с(А) – с(В) = 1, то v = k. Константа швидкості k дорівнює швидкості реакції при концентраціях реагуючих ре­човин 1 моль/л. Вона залежить від температури та природи реагуючих речовин і не залежить від їх концентрації.

У гетерогенних реакціях у вираз швидкості реакції входять концентрації тільки тих речовин, які знаходяться в газовій фазі або розчині. Наприклад, кінетичне рівняння реакції горіння магнію

2Mg(кр) + О₂(г)gО(кр) буде мати такий вигляд:

де  – парціальний тиск кисню.

Вплив температури. Швидкість хімічної реакції під час збільшення температури зростає згідно з правилом Вант-Гоффа, яке визначається рівнянням:

де v() і v() – швидкостіреакціїпризазначенихтемперату­рахі; ɣ – температурнийкоефіцієнтшвидкостіреакції (ви­мова: гамма).

За правилом Вант-Гоффа підвищення температури на кож­ні 10°С призводить до зростання швидкості більшості реакцій в два – чотири рази.

Великий вплив температури на швидкість хімічної реакції пояснює теорія активації. Згідно з цією теорією лише активні молекули вступають у хімічну взаємодію, оскільки мають до­статню енергію для здійснення реакції. Щоб зробити неактивні молекули активними, їм треба надати додаткової енергії, на­приклад нагріти. Цей процес називається активацією. Енергія, яку слід надати одному молю реагуючої речовини, щоб усі її молекули стали активними, називається енергією активації реакцій. Її позначають через А або Е і вимірюють у кДж/моль. Підвищення температури збільшує число активних молекул у системі, і швидкість хімічної реакції зростає.