Тема: Статистика
страхування
План практичного заняття
1. Поняття і
завдання статистики страхування.
2. Групування, які
використовуються при аналізі страхування.
3. Система
показників страхування.
4. Система
показників діяльності страхових організацій.
Термінологічний словник ключових понять
Застрахований — юридична чи фізична особа, якій
належить страхове відшкодування при настанні страхового випадку.
Самострахування — це форма страхування, що ґрунтується
на індивідуальній відповідальності і полягає в тому, що кожна юридична і фізична
особа формує власні страхові (резервні) фонди за рахунок власних доходів.
Страхова сума — характеризує масштаби даної
страхової операції, тобто в якому розмірі застраховано той чи інший об’єкт.
Страхове відшкодування — це виплата страховиком застрахованому
(або отримувачу) повної чи часткової суми збитків.
Страховик — юридична особа, яка діє на підставі
відповідної ліцензії, беручи на себе зобов’язання щодо створення колективного
страхового фонду і виплати з нього страхового відшкодування.
Страхові платежі — це перерахування коштів
страхувальником страховику.
Страхувальник — юридична чи фізична особа, яка на
підставі відповідної угоди зі страховиком сплачує страхові внески до страхового
фонду.
Страхування — це система економічних відносин, яка
передбачає утворення за рахунок підприємств, організацій і населення спеціального
фонду коштів і використання його для відшкодування втрат, які сталися в
результаті стихійного лиха та інших несприятливих випадкових явищ, а також для
надання допомоги громадянам при виникненні в їхньому житті різних випадків.
Розв’язок типових задач
1. Маємо дані страхових організацій району про добровільне страхування
майна громадян:
Страхове поле (Nmax) — 256 250.
Кількість укладених договорів (кількість застрахованих об’єктів) (N)—
102 500.
Сума застрахованого майна (S), тис. грн — 198 350.
Надійшло страхових внесків (Р), тис. грн — 2800.
Страхові виплати (W), тис. грн — 1680.
Кількість об’єктів, що постраждали (nп), — 2050.
Визначити показники, які характеризують діяльність страхових організацій.
Розв’язання:
1) Ступінь
охоплення страхового поля:
![]()
2) Частота страхових випадків:
![]()
3) Середня страхова сума:

4) Середня сума страхового внеску:

5) Середня сума страхових виплат:

6) Коефіцієнт виплат:

7) Збитковість страхової суми:
![]()
8) Коефіцієнт важкості страхових
подій:

9) Коефіцієнт фінансової сталості (з
довірчою ймовірністю 0,954, за якої t = 2):

Чим менший цей
коефіцієнт, тим стабільніше фінансове становище.
2. Результати роботи
страхових організацій у 1 півріччі характеризуються такими даними:

Визначити:
1) середній коефіцієнт виплат;
2) абсолютну суму доходу страхових
операцій;
3) відносну дохідність.
Розв’язання:
1) Коефіцієнт виплат розраховується
за формулою:

Середній коефіцієнт виплат
становитиме:

2) Абсолютна сума доходу визначається
як різниця внесків і виплат:
D = 1600 – 640 = 960 млн грн.
3) Відносна дохідність (відсоток
дохідності) дорівнює:

Цю величину можна визначити інакше:
Кд = 1 – Кв =
1 – 0,4 = 0,60 або 60 %.
3. Маємо дані страхових організацій
про добровільне страхування майна, тис. грн:

Визначити:
1) індивідуальні
індекси збитковості по кожному району;
2) по двох районах
індекси середньої збитковості змінного складу.
Розв’язання:
1) iq=q1/q2
по району 1: iq = 0,8928, або 89,3 %,
тобто збитковість зменшилась на 10,7 %;
по району 2: iq = 1,25 — збитковість
зросла на 25 %.
2) Індекс середньої
збитковості змінного складу дорівнює:

тобто середня
збитковість збільшилась на 10 % за рахунок впливу двох факторів: зміни коефіцієнта
збитковості та розміру страхових сум.
4. Визначити для
особи у віці 42 роки одноразову нетто-ставку (зі 100 грн страхового внеску) на
дожиття строком на 3 роки:
а) використовуючи
дисконтний множник за ставкою 3 % (за формулою tEx),
б) за даними
комутаційних чисел (див. табл.).

Примітка. 1. Дисконтний множник розраховано за
ставкою 3 % річних. 2. Сума комутаційних чисел накопичена поступово, з кінця
таблиці.
Розв’язання:
а) 
б) 
Невеликі розбіжності
пояснюються округленням комутаційних чисел.
5. Визначити
одноразову нетто-ставку на випадок смерті для особи у віці 40 років строком на
2 роки, використовуючи дані таблиці.
Розв’язання:
При використанні
комутаційних чисел з таблиці нетто-ставка дорівнюватиме:

6. У поточному
періоді середньорічна чисельність працюючих на підприємстві була 200 осіб, з
яких виробничі травми отримали 10 осіб з втратою працездатності на 120
людино-днів.
Визначити показники
рівня травматизму:
1) частоту
травматизму;
2) важкість
травматизму;
3) коефіцієнт
непрацездатності (кількість людино-днів непрацездатності на одного працюючого).
Розв’язання:
1) частота
травматизму (ЧТ) = (число осіб, які постраждали) / (середньоспискова
чисельність працюючих) × 100 = (10/200) × 100 = 5, тобто на 100 працюючих
5 осіб дістали травми;
2) важкість
травматизму (ВТ) = (людино-дні непрацездатності) / (кількість нещасних
випадків) = 120/10 = 12 днів;
3) коефіцієнт
непрацездатності (Кн) = (кількість днів непрацездатності /
середньоспискова чисельність працюючих) = 120/200 = 0,6 дня.
7. Динаміка
збитковості по страхуванню особистого майна характеризується такими
показниками:

Визначити:
1) середньорічний
рівень збитковості;
2) нетто-ставку (з
довірчою ймовірністю 0,954);
3) брутто-ставку, якщо
відомо, що навантаження за даним видом страхування становить 20 % (f).
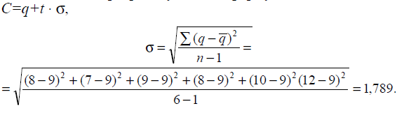
Розв’язання:
1) Середньорічний
рівень збитковості дорівнює:

2) Нетто-ставка
розраховується за формулою:

Отже, C = 9 + 2
× 1,789 = 12,578.
3) Брутто-ставка
дорівнює 
Навчальні задачі
Завдання 1. Маємо дані страхових організацій з
добровільного страхування за поточний період, тис. грн:
Страхове поле — 1
920 000.
Кількість укладених
угод — 768 000.
Страхова сума
застрахованого майна — 1 128 700.
Страхові внески —
3400.
Страхові виплати
(сума збитків) — 940.
Кількість страхових
випадків — 1535.
Визначити:
1) ступінь охоплення
страхового поля;
2) частоту страхових
випадків;
3) коефіцієнт
виплат;
4) середню страхову
суму застрахованого майна;
5) середню суму
страхового внеску;
6) середню суму
страхових виплат;
7) збитковість
страхової суми;
8) коефіцієнт
важкості страхових подій;
9) з ймовірністю
0,954 коефіцієнт фінансової сталості.
Завдання 2. Маємо дані страхових організацій
області про добровільне
страхування майна
суб’єктів господарювання, тис. грн:

Визначити для кожного періоду:
1) середні розміри страхової суми,
страхового внеску, суми страхових виплат;
2) коефіцієнт виплат;
3) збитковість страхової суми;
4) коефіцієнт важкості страхових
подій.
Розрахункові показники подати в
таблиці, обчислити темпи
динаміки та зробити висновки.
Завдання 3. Показники роботи страхових організацій району у
поточному році характеризуються такими даними:

Визначити за кожною галуззю страхування і по двох
галузях разом:
1) коефіцієнт виплат
страхового відшкодування;
2) розмір страхових
платежів на 100 грн. страхової суми;
3) середню страхову
суму;
4) збитковість
страхової суми.
Завдання 4. Робота страхових організацій області за поточний
період
характеризується
такими показниками:

Визначити:
1) структуру
показників за формами страхування;
2) по кожній формі
страхування і по двох формах разом:
а) коефіцієнт виплат
страхового відшкодування;
б) збитковість
страхової суми;
в) середню суму
застрахованого об’єкта.
Завдання 5. Результати роботи страхових організацій району за
поточ-
ний період
характеризуються такими показниками:

Визначити середні коефіцієнти виплат і
показники відносної дохідності по кожній галузі страхування і по двох галузях
разом.
Завдання 6. Збитковість страхових організацій з добровільного
страхування майна характеризується такими показниками:

Визначити середній коефіцієнт збитковості
страхової суми по двох організаціях за кожний період. Порівняти отримані
показники.
Завдання 7. Збитковість страхових організацій з добровільного
страхування майна характеризується такими показниками:

Визначити середній коефіцієнт збитковості по двох страхових організаціях,
використовуючи показники: а) гр. 1 і 2; б) гр. 1 і 3; в) гр. 2 і 3; г) гр. 3 і
4.
Завдання 8. Збитковість з майнового страхування
характеризується такими даними:

Визначити:
1) середньорічний
рівень збитковості страхової суми;
2) нетто-ставку з
довірчою ймовірністю 0,954;
3) брутто-ставку за
умови, що навантаження до нетто-ставки становить 20 %.
Завдання 9. Маємо дані про страхування особистого майна, тис.
грн:

Визначити:
1) середню
збитковість страхової суми за 5 років;
2) з ймовірністю
0,954 майбутню нетто-ставку;
3) брутто-ставку за
умови, що навантаження по даному виду страхування становить 15 %.
Завдання 10. Маємо дані страхових організацій про добровільне
страхування майна, тис. грн:

Визначити:
1) індивідуальні індекси збитковості
по кожному району;
2) по двох районах індекси середньої
збитковості:
а) змінного складу; б) фіксованого
складу; в) структурних зрушень;
3) абсолютний приріст (зниження)
середньої збитковості на 100 грн страхової суми за рахунок зміни рівня
збитковості по кожному району і зміни страхового поля.
Завдання 11. Маємо дані про добровільне майнове страхування суб’єктів
господарювання:

Визначити:
1) індекс важкості
страхових подій;
2) індекс
збитковості страхової суми.
Завдання 12. У поточному періоді частка постраждалих об’єктів
зменшилась на 12 %, збитковість страхової суми збільшилась на 1 %.
Визначити індекс важкості страхових подій.
Завдання 13. У поточному періоді порівняно з базисним середня
страхова сума збільшилась на 12 %, середнє страхове відшкодування— на 5, частка
об’єктів, що постраждали, — на 2,4 %.
Визначити індекс збитковості страхових сум.
Завдання 14. Визначити для особи у віці 40 років одноразову
нетто-ставку (зі 100 грн. страхової суми) на дожиття строком на 5 років,
використовуючи: а) дисконтний множник; б) дані комутаційних чисел.
Завдання 15. За даними комутаційних чисел виконайте задачу 14
для особи, яка уклала угоду у віці 45 років строком на 5 років.
Завдання 16. Маємо такі дані про травматизм по підприємству:

Визначити по кожному цеху і підприємству в цілому у розрахунку
на 100 осіб:
1) частоту
травматизму, важкість травматизму;
2) коефіцієнт
непрацездатності на одного працюючого.
Завдання 17. Маємо такі дані по підприємствах
галузі:

Визначити:
1) середній коефіцієнт
непрацездатності по двох підприємствах;
2) по кожному підприємству і двох
разом;
а) частку травматизму;
б) важкість
травматизму.
Завдання для перевірки знань
1. Дати
характеристику страхування як системи економічних відносин.
2. Яку роль відіграє
страхування у процесі переходу до ринкової економіки?
3. Охарактеризувати
основні завдання статистики страхування.
4. Навести перелік і
висвітлити економічну суть групувань, які використовуються статистикою
страхування.
5. Висвітлити зміст
і економічну сутність системи показників страхування.
6. Охарактеризувати
методику розрахунку брутто-ставки страхування та її складових-нетто-ставки та
навантаження.
7. Навести
характеристику системи показників фінансового стану страхової компанії.
8. Дати
характеристику системи показників оцінки страхового портфеля.
9. Дати характеристику системи показників інвестування коштів страхової компанії.