Тема: Статистика
ринку цінних паперів
План практичного заняття
1. Поняття й види цінних паперів.
Завдання статистики цінних паперів.
2. Показники статистики цінних
паперів.
3.Узагальнюючі показники цінних
паперів.
4.Джерела статистичних даних цінних
паперів.
5. Класифікація облігацій.
6. Оцінка облігацій. Загальні
принципи.
7. Оцінка
облігацій і податки.
Термінологічний словник ключових понять
Акція — цінний папір без установленого строку
обігу, що засвідчує часткову участь у статутному фонді акціонерного товариства,
підтверджує членство в акціонерному товаристві та право на участь в управлінні
ним, надає його власникові право на одержання частини прибутку у вигляді
дивіденду, а також на участь у розподілі майна при ліквідації акціонерного
товариства.
Вексель — цінний папір, який засвідчує
безумовне грошове зобов’язання векселедавця сплатити після настання строку
визначену суму грошей власнику векселя.
Казначейські зобов’язання — вид цінних паперів на
пред’явника, що розміщуються виключно на добровільних засадах серед населення, засвідчують
внесення їх власниками грошових коштів до бюджету і дають право на одержання
фінансового доходу.
Облігація — цінний папір, що засвідчує внесення
його власником грошових коштів і підтверджує зобов’язання відшкодувати йому
номінальну вартість цього цінного папера в передбачений у ньому строк з виплатою
фіксованого відсотка (якщо інше не передбачено умовами випуску).
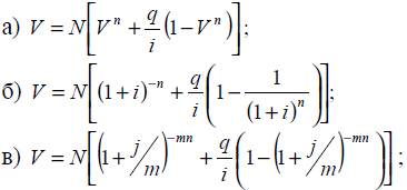
Оцінка облігацій — це дисконтування доходів
від облігацій і визначення суми грошей, яка в деякий момент еквівалентна у
фінансовому відношенні самій облігації з урахуванням її строку, дохідності і прийнятої
при оцінці ставки відсотків (ставка розміщення).
Ощадний сертифікат — письмове свідоцтво банку
про депонування грошових коштів, яке засвідчує право вкладника на одержання
після закінчення встановленого строку депозиту і відсотків по ньому.
Результат оцінки облігації — це сума грошей, що
еквівалентна у фінансовому відношенні всім надходженням за облігацією.
Ставка
розміщення — це ставка відсотків, яка характеризує той ступінь
рентабельності інвестицій, що задовольняє інвестора.
Розв’язок типових задач
1. Облігація
приносить щорічно 4 % доходу. Вона погашається через 2 роки за номіналом, який
дорівнює 1000 грн. Врахована під час оцінювання облігації ставка відсотків 3 %.
Знайти оцінку і курс облігації.
Розв’язання:

Ця облігація
оцінюється вище, ніж її номінальна ціна, за якою вона продається на ринку
цінних паперів, про що засвідчує її курс 101,9 %. У такому разі інвестор приймає
рішення купувати її за ціною, що нижче оцінки.
2. Необхідно оцінити
облігацію, якщо щорічний купонний дохід виплачується щоквартально. Інші
параметри з попереднього прикладу.
Розв’язання:

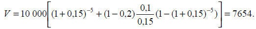
3. Нехай N = 10 000,
q = 10 %, n = 5, виплата доходу — один раз на рік, ставка відсотків — 15 %.
Поточний дохід оподатковується 20 % податком. Знайти оцінку облігації.
Розв’язання:

4. Чистий дохід корпорації становив
20 млн грн, з якого вона виплачує по 1 грн на кожну акцію у вигляді дивідендів.
Всього випущено 2 млн акцій. Знайти частку доходу корпорації, що розподіляється
серед акціонерів.
Розв’язання:
Д/А = 20/2 = 10 грн
Квип. = 1/10 × 100
% = 10 %.
Отже, корпорація 10 % свого доходу
розподіляє серед акціонерів.
5. По акціях корпорації виплачуються
дивіденди по 5 грн на одну акцію. Дана акція продавалась на фондовій біржі за
ціною 200 грн. Визначити дивідендну віддачу акцій.
Розв’язання:

6. Із звіту корпорації виходить, що
її чистий дохід за шість місяців становить 1,5 млн грн, акції корпорації
продаються за ціною 80 грн, в обіг випущено 0,5 млн акцій. Визначити коефіцієнт
цінадохід.
Розв’язання:
Д = 1,5/0,5 = 3 грн.
Коефіцієнт ціна-дохід = 80/3 = 26,6.
7. Корпорація випустила в обіг 0,3
млн акцій, які продаються за ринковою ціною 30 грн за акцію. Визначити капіталізовану
вартість акцій.
Розв’язання:
КВА = 0,3 × 30 = 9 млн грн.
8. Банк на початку року придбав акції
корпорації по 60 грн. У кінці року вони продавались по 70 грн. Величина
дивідендів зацей період становить 3 грн на кожну акцію. Визначити повний дохід
від капіталу.
Розв’язання:
Повний дохід від
капіталу 
9. Наведемо приклад методики
розрахунку індексу Доу-Джонса, взявши за основу не 30 компаній (як у
промисловому індексі), а 4 умовних компанії.
Дані (умовні) фондових бірж за чотири
роки

Розв’язання:
Розрахуємо біржові
середні за чотири роки по 4-х компаніях.
Для перших двох
років показник, який описує рівень біржових цін, становить:

Цей індекс
розраховується як середнє арифметичне цін акцій окремих компаній.
З наведеної таблиці
видно, що в 2000 р. у компаніях АВС і СВЕ відбувся поділ акцій: їх кількість
збільшилась удвічі.
Загальний капітал
акціонерів компанії АВС у 1999 р.: 11,0 × 2 = 22 млн грн.
Індекс Доу-Джонса
повинен враховувати поділ числа акцій компанії. Спочатку розраховується біржове
середнє з припущенням, що поділу акцій у 2000 р. не було:

Після цього
розраховують знаменник індексу Доу-Джонса з урахуванням поділу акцій. Він
повинен відповідати знайденому середньому 9,025 грн:


Після цього розрахований знаменник
повинен використовуватись для обчислення біржового середнього арифметичного по цих
4 компаніях до наступного поділу акцій якої-небудь з компаній, коли цей
знаменник знову буде переглянутий.
Отже, індекс Доу-Джонса в 1998 р.
становив 7,626 грн, у 1999 р. — 8,75 грн,

Навчальні задачі
Завдання 1. Ставка на ринку цінних
паперів — 4 %. Облігація дає 3 % доходу, який обкладається 20 % податком.
Номінальна вартість облігації 100 грн. Вона погашається через 4 роки. Визначити
оцінку облігації.
Завдання 2. Ринкова ставка 3 %.
Облігація дає 4 % доходу, який обкладається 10 % податком. Номінальна вартість
облігації 100 грн. Вона погашається через 2 роки. Визначити оцінку облігації.
Завдання 3. Облігація дає щорічно 4 %
прибутку. Відсотки виплачуються щоквартально. Ринкова ставка по цінних паперах
5 %. Облігація викуповується через 2 роки за ціною вище за номінальну на 20 %. Номінальна
ціна облігації 100 грн. Визначити курс облігації.
Завдання 4. Облігація приносить 4 %
прибутку. Вона погашається через 2 роки за номіналом 100 грн. Ринкова ставка по
цінних паперах — 3 %. Визначити курс облігації.
Завдання 5. Визначити вартість і курс
облігації без обов’язкового погашення. Річний прибуток з облігації – 400 грн,
ринкова ставка – 6 %, купонна норма прибутку— 8 %.
Завдання 6. Визначити вартість облігації
за кожний рік з умовою, що її номінальна вартість становить 2000 грн, а викупна
ціна – на 20 % більше. Облігація дає щорічно 80 грн прибутку. Ринкова ставка — 6
% в рік. Облігація погашається через 4 роки.
Завдання 7. Загальний рівень
прибутковості становить 10 %. Сума дивідендів компанії за поточний рік — 50
тис. грн. Кількість акцій — 12 500 шт. Поточна ринкова вартість акцій — 20 грн.
Дохідність державних облігацій — 5 %. Визначити дійсну вартість акцій.
Завдання 8. Дохідність державних
облігацій становить 10 %. Загальноринковий рівень прибутковості — 15 %. За
останні 10 років доходи по акціях компанії у середньому дорівнювали 20 %.
Знайти необхідний рівень прибутковості.
Завдання 9. Визначити індекс Доу-Джонса в 2002 р.

Завдання 10. Визначити дійсну вартість акцій, якщо
передбачається, що щорічний ріст дивідендів становитиме 5 %. Відомо також, що
загальноринковий рівень прибутковості 10 %. Сума дивідендів компанії за
поточний рік — 50 тис. грн. Кількість акцій — 12 500 шт. Поточна ринкова
вартість акцій — 20 грн. Прибутковість державних облігацій — 5 %.
Завдання 11. Знайти рівень чистого прибутку за період, якщо
акції компанії куплені за 500 грн. Дохід від акцій за перший рік виплачено у
розмірі 10 % курсової вартості акцій, а за другий рік – 5 %. Акція продана за
450 грн.
Завдання 12. Дохідність державних облігацій становить 10 %.
Загальноринковий рівень прибутковості — 15 %. За останні 10 років доходи по
акціях компанії в середньому дорівнювали 20 %. Знайти необхідний рівень
прибутковості.
Завдання для перевірки знань
1. Які ви знаєте
облігації за методом забезпечення:
а) облігації
приватних корпорацій;
б) облігації, за
якими їх власникам не виплачуються відсотки
до моменту погашення
облігації;
в) облігації з
розподіленим у часі погашенням;
г) облігації з
деякою обумовленою датою погашення.
2. Яка з викладених
нижче формул є формулою Макехема:

г) усі формули.
3. У чому полягає
оцінка облігації:
а) визначенні суми
грошей, яка в даний момент еквівалентна самій позичці з урахуванням її строку;
б) визначенні суми
грошей, яка в даний момент еквівалентна сучасній величині викупної ціни і
сучасній величині періодично виплачуваного доходу;
в) визначенні суми
грошей, яка дорівнює майбутній вартості викупної ціни облігації і майбутній
величині періодично виплачуваного доходу;
г) визначенні суми грошей,
яка в даний момент еквівалентна самій позичці з урахуванням її строку,
дохідності і прийнятої при оцінюванні ставки відсотків.
4. Зі збільшенням строку облігації
вплив:
а) сучасної величини викупної ціни
знижується, а сучасної величини купонного доходу зростає;
б) сучасної величини викупної ціни і
сучасної величини купонного доходу знижується;
в) сучасних величин викупної ціни і
купонного доходу зростає;
г) сучасної величини викупної ціни
зростає, а сучасної величини купонного доходу знижується.
5. Які з наведених облігацій можна
класифікувати за методом погашення номіналу:
а) облігації з деякою обумовленою
датою погашення;
б) облігації з розподіленим у часі
погашенням;
в) облігації, за якими не
виплачуються відсотки;
г) усі перелічені облігації.
6. Зниження ринкової ставки по цінних
паперах призводить до:
а) підвищення оцінки і курсу
облігації;
б) зниження оцінки та курсу
облігації;
в) підвищення оцінки та зниження курсу
облігації;
г) зниження оцінки та підвищення
курсу облігації.
7. Що ви розумієте під ринковим
курсом облігації:
а) ціна, за якою продається
облігація;
б) сучасна величина викупної ціни
облігації у розрахунку на 100 грн номіналу;
в) купівельна ціна в розрахунку на
100 грн номіналу;
г) номінальна ціна в розрахунку на
100 грн номіналу.
8. Підвищення ринкової ставки по
цінних паперах призводить до:
а) зниження оцінки та підвищення
курсу облігації;
б) підвищення оцінки та курсу
облігації;
в) підвищення оцінки та зниження
курсу облігації;
г) зниження оцінки та курсу
облігації.
9. Що ви розумієте під таким
визначенням: «Цінний папір, який засвідчує
безумовне грошове зобов’язання, яке дає його власникові право після настання
строку вимагати від боржника або акцептанта сплатити обумовлену в ньому грошову
суму» —
а) акцію;
б) облігацію;
в) ощадний сертифікат;
г) вексель.
10. Визначити, яке з викладених нижче
висловлювань є правильним:
а) під дивідендами розуміється чистий
прибуток акціонерної компанії;
б) ставка дивідендів — це відношення
ринкової вартості акцій до суми отриманих дивідендів;
в) рівень чистого прибутку за період
являє собою відношення суми всіх доходів до первісної ціни активу;
г) рівень прибутковості, що
вимагається, — це безпечний рівень прибутковості компанії.
11. Що ви розумієте під розміщенням
цінних паперів:
а) продаж цінних паперів на
первинному ринку;
б) купівлю цінних паперів на
вторинному ринку;
в) купівлю цінних паперів на
первинному ринку;
г) продаж цінних паперів на
вторинному ринку.
12. Що ви розумієте під таким
визначенням: «Цінний папір, який
підтверджує зобов’язання емітента відшкодувати власникові цінного папера його
номінальну вартість у встановлений строк з уплатою фіксованого доходу» —
а) вексель;
б) облігацію;
в) казначейські зобов’язання держави;
г) ощадний сертифікат.
13. Що ви розумієте під таким
визначенням: «Вартість акцій, що
визначається з урахуванням необхідного рівня прибутковості та суми отриманого
доходу»—
а) курсова вартість акцій;
б) фактична вартість акцій;
в) фактична ціна акцій;
г) усе викладене.
14. Що ви розумієте під обігом цінних
паперів:
а) купівлю цінних паперів на
первинному ринку;
б) продаж цінних паперів на
первинному ринку;
в) продаж і купівлю цінних паперів на
вторинному ринку;
г) купівлю цінних паперів на
вторинному ринку.
15. Яка з формул відповідає дійсній
вартості акцій з урахуванням зростання дивідендів:
