ТЕМА
7.
ПІДХОДИ
ДО ОЦІНЮВАННЯ ФІНАНСОВИХ ІНСТРУМЕНТІВ
Питання до самоопрацювання:
1. Оцінка акцій.
2. Оцінка облігацій.
Приклади розв’язку практичних
завдань:
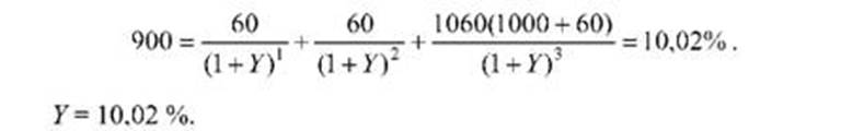
Задача 1.
Облігація номінальною вартістю 1000 дол. і
поточною вартістю 900 дол. має залишковий строк обігу 3 роки. Купонні щорічні
виплати до погашення становлять 60 дол. Визначте доходність облігацій до
погашення:

Задача 2.
Облігація номінальною вартістю 1000 дол. і
поточною вартістю 900 дол. має залишковий строк обігу 3 роки. Купонні щорічні
виплати до погашення становлять 60 дол. Визначте чисту приведену вартість:

Практичні завдання до
самостійної роботи:
Задача 1.
Визначте доходність облігацій до погашення, якщо
облігація номінальною вартістю 950 дол. і поточною вартістю 820 дол. має
залишковий строк обігу 2,5 роки. Купонні щорічні виплати до погашення
становлять 57 дол.
Задача 2.
Визначте чисту приведену вартість, якщо відомо, що
облігація номінальною вартістю 916 дол. і поточною вартістю 925 дол. має
залишковий строк обігу 3 роки. Купонні щорічні виплати до погашення становлять
52 дол.