Лекція 2.
2.1. Пружна і пластична робота. Руйнування
2.2.
Робота металу при плоскому й об’ємному напружених станах
2.3.Нерівномірний
напружений стан
2.1. Пружна і пластична робота.
Руйнування
Сталі
та алюмінієві сплави мають зернисту будову з хаотичною орієнтацією кристалічних
граток зерен, чим і пояснюються однакові властивості металу в усіх напрямах.
Під дією невеликого навантаження розтягу атомні гратки зерен дещо спотворюються
і зразок металу деформується. Після припинення дії навантаження форма зерен та
кристалічних граток відновлюється, а атоми займають попередні місця. Тобто
деформація має пружний характер. Залежність між деформацією і значенням зусилля
лінійна.
Під дією навантажень, які
дорівнюють або перевищують напруження межі текутості чи умовної межі текучості,
у кристалічних гратках відбуваються зсуви, а після припинення дії навантаження
з’являється залишкова пластична деформація, яка не відновлюється. Накопичення
пластичних деформацій призводить до порушення цілісності металу, тобто його
руйнування.
Руйнування буває в’язке (пластичне) – від зсуву, крихке –
внаслідок відриву і змішане. Дотичні напруження та пластичні деформації,
зумовлені переміщенням дислокацій, є причинами в’язкого руйнування. У процесі такого руйнування відбувається
скупчення дислокацій і пов’язаних з ними пластичних деформацій у певних місцях,
що зумовлює виникнення "шийки"— потоншення матеріалу та появу тріщин.
Крихке руйнування є наслідком розвитку пружних деформацій металу до руйнівних в
умовах, коли утруднені пластичні зсуви (наприклад, при плоскому чи об'ємному
розтягу). У цьому випадку спостерігається розрив міжатомних зв'язків
кристалічних ґраток більшості зерен при дуже незначних зсувах в окремих зернах.
Опір матеріалу на відрив суттєво залежить від його структури. Грубозернистість
знижує опір відривові та межу текучості. Отже, основним завданням легування і
термічної обробки є отримання дрібнозернистої однорідно зміцненої структури.
При роботі на стиск метал поводить себе, як і при розтягові.
Значення межі текучості модуля пружності і довжина ділянки текучості дорівнюють
аналогічним показникам при розтягові. Але зруйнувати внаслідок стискання
короткі зразки, виготовлені з пластичних металів, не вдається, оскільки зразок
розплющується.
2.2. Робота металу при
плоскому й об’ємному напружених станах
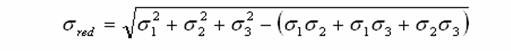
При складному напруженому стані роботу металу прийнято оцінювати
через зведені напруження, обчислені за енергетичною теорією:

де sі, tіj (і = х, у, z; j = у, z, х) — відповідно нормальні й
дотичні напруження, або через головні напруження s1, s2, s3:

Вид напруженого стану суттєво впливає
на механічні характеристики металу. На рис. 3.1 схематично зображені діаграми
деформування металу під дією різних зусиль.
Як бачимо, одного знаку плоский і
об'ємний напружені стани значно знижують відносне видовження металу, але
натомість підвищують характеристики міцності. Напруження різних знаків сприяють
розвитку пластичних деформацій, але погіршують характеристики міцності. Таким чином,
складний напружений стан завжди призводить до погіршення експлуатаційних
якостей металу. У першому випадку метал схильний до крихкого руйнування, у
другому — знижується його міцність.

2.3. Нерівномірний напружений стан
Негативно впливають на міцність конструкції концентратори
напружень, якими є будь-які зміни форми зразка. У гладких зразках правильної
форми напруження у всіх перерізах, достатньо віддалених від місця прикладення
навантаження розтягу, розподіляються рівномірно, а силові лінії прямолінійні.
Напружений стан у такому зразкові одноосьовий.
Якщо в плоскому зразку створити отвори чи надрізи лінії силового
потоку будуть огинати нові межі. При цьому вони густішають поблизу
концентраторів, що характеризує підвищення напружень. Відхилення силових ліній
від прямої свідчить про наявність напружень, що діють у двох напрямах. У цьому
випадку має місце двоосний напружений стан, який виникає внаслідок зміни
контуру меж.
Наявність поблизу концентраторів значного перевищення напружень
над рівнем середніх значень і складного напруженого стану призводить до
утворення тріщин у металі та крихкого руйнування. При цьому чим менший радіус
кривизни концентратора, тим вищі рівні напружень поблизу нього. При
концентраторі типу тріщини, коли радіус кривизни її вершини прямує до нуля,
теоретично напруження можуть досягти нескінченно великих значень. Тому при
конструюванні необхідно уникати гострих концентраторів, а спряження виконувати
плавно.
Під час розрахунку елементів конструкцій місцеві напруження
поблизу концентраторів найчастіше не визначають. Граничні значення несучої
здатності обчислюють за умовними середніми напруженнями, що допускається лише
при використанні пластичних сталей, відносно плавних з'єднаннях і статичних
навантаженнях. Старіння та пластичні деформації, які виникають під час холодної
обробки металу, значно знижують його стійкість до дії концентраторів і
складного напруженого стану.
2.4. Вплив температури
Загальна тенденція залежності від температури механічних
властивостей металів, що використовуються у будівництві, така: при зростанні
температури зменшуються значення модуля пружності та меж текучості й міцності,
а низькі температури підвищують крихкість сталі. Причому зазначені
закономірності нелінійні. Так, нагрівання вуглецевої сталі до 200...250 °С
відносно мало змінює її механічні властивості. Але вже при 300...350 °С сталь
набуває грубозернистої структури і стає крихкою (так звана синьоламкість). При
цій температурі не рекомендується піддавати її пластичному деформуванню та
ударним навантаженням. Подальше нагрівання сталі знову покращує її
пластичність, але починають швидко зменшуватися межі текучості та міцності.
Наприклад, при 500 °С ці показники зменшуються приблизно у 1,5 раза, а при
600...650 °С настає температурна пластичність, тобто межа текучості й модуль
пружності наближаються до нуля.
Суттєве зменшення пластичних властивостей цих сталей
спостерігається при охолодженні нижче -10 °С. При температурі нижче -45 °С
сталь стає крихкою.
У низьколегованих сталей температурний діапазон, в якому механічні
характеристики можна вважати сталими, ширший, ніж у маловуглецевих, і залежить
від складу.
Алюмінієві сплави значно гірше чинять опір дії підвищених
температур. При температурах, що перевищують 250...300 °С, спостерігається
температурна пластичність.