Тема
5. ЦЕНТРАЛЬНО-СТИСНУТІ
КОЛОНИ ТА СТІЙКИ
Лекція
14
14.3.
Конструкція та розрахунок вузлів колон: оголовків, баз, спряження балок з
колонами
14.1.
Підбір перерізу наскрізних колон з планками.Врахування впливу з’єднувальних
планок на стійкість наскрізних колон, їх приведена гнучкість
А.
Розрахунок відносно матеріальної осі Х1-
Х1
(рис. 14.1,
б, в.).
Прийнявши попередньо гнучкість колони
l =
50...100 (чим більше навантаження, тим меншу гнучкість обирають), за табл. 72
[3] визначають коефіцієнт поздовжнього
згину j.
Необхідна площа перерізу
гілки колони, см2
,
де N ‒ розрахункове зусилля в
колоні; Ry - розрахунковий опір
сталі; gс-
коефіцієнт умови роботи конструкції.
2.
За
необхідною площею перерізу гілки А1
з таблиць сортаменту приймаємо прокатний швелер ( ГОСТ 8240-89), або двотавр
(ГОСТ 8239-89), для якого
виписуємо необхідні геометричні характеристики: площу перерізу Ав; моменти інерції Jx,,
Jy; радіуси інерції іx,, іy;
ширину полички bf; товщину полички tf
;
координату центра ваги Z0 для
швелера; товщину стінки двотавра та швелера tw..
3. Перевіряємо підібраний
переріз колони на стійкість відносно матеріальної осі Х1- Х1 для чого:
а) визначаємо гнучкість
колони
,
де lx1 ‒ розрахункова довжина; ix1
- радіус інерції перерізу гілки, прийнятий із
сортаменту; lu - гранична гнучкість
колони, приймається на даній стадії розрахунку рівною 120.
Якщо
,
то необхідно прийняти більший номер швелера
або двотавра.
б) залежно від величини гнучкості lх1 та
розрахункового опору Ry за таб.72 [3] приймають
величину коефіцієнта поздовжнього згину jх1 .
в) перевіряють стійкість
колони відносно матеріальної осі Х1-
Х1
,
де N –
розрахункове навантаження на колону; A – площа перерізу гілки (швелера або двотавра).
Перенапруження не
допускається, а недонапруження з метою економії сталі повинне бути мінімальним
(до5%).
В. Розрахунок колони відносно вільної осі У1 -У1 .
4.
Задаються
гнучкістю окремої гілки колони на відстані між планками у просвіті з розрахунку
![]()
5.
Виходячи
з умов рівностійкості lх1 = lef, обчислюють гнучкість стержня колони відносно вільної осі
У1- У1
![]()
6.
Обчислюють
необхідний радіус інерції перерізу
колони відносно вільної осі

де ly1 ‒ розрахункова довжина
колони.
7.
Обчислюють
необхідну ширину перерізу колони, см

де ay1 - коефіцієнт форми перерізу, приймається ay1 =
0,44 – для перерізу із двох швелерів; ay1 =
0,52 – для перерізу із двох двотаврів.

Визначену ширину перерізу
заокруглюють в більший бік до 10 мм з таким розрахунком, щоб зазор між
внутрішніми кромками полиць гілок колони був не меншим а =100...150 мм для можливості пофарбування колони (рис. 14.1); для колони із двох швелерів а = b – 2bf
³ 100...150 мм; для колони із двох двотаврів
а = b – bf
³ 100...150 мм, тут bf –ширина
полиці швелера або двотавра.
Якщо зазор а < 100 мм, то необхідно прийняти а = 100 мм і визначити ширину перерізу колони:
а)
– для перерізу із двох швелерів;
б)
- для перерізу із двох двотаврів.
8.
Призначають
розміри планок (рис. 14.1,б):
а) висота планок
і кратна 10 мм;
б) довжина планок ![]()
в) товщина планок за
умовою їх місцевої стійкості при зсуві
і приймається в межах 6...12 мм.
В цих формулах b
‒ ширина перерізу колони; а ‒ зазор між внутрішніми
кромками гілок колони.
9.
Обчислюють
відстань між планками у просвіті lb (рис. 14.1,б).
,
(тут lb
‒ прийнята в п.4, гнучкість
окремої гілки; іу ‒ радіус інерції окремої гілки,
прийнятий із сортаменту).
10. Обчислюють відстань
між осями планок (рис. 14.1.б)
![]()
11. Обчислюють величину відношення
погонних жорсткостей гілки колони і
планки
,
де
– момент інерції перерізу планки; ts –
товщина планки; ds
–
висота планки; l –
відстань між осями планок; Iв ‒ момент інерції перерізу гілки відносно осі, перпендикулярної
площині проектуючих планок, тобто
(тут Iу ‒ момент інерції перерізу
гілки, прийнятий із сортаменту); с ‒ відстань між осями гілок:
‒
для перерізу із двох швелерів і с = b
‒ для перерізу із двох
двотаврів; z0 ‒ приймається за
сортаментом.
12.
Обчислюють момент інерції і радіус інерції
перерізу колони відносно вільної осі У1-У1
,
де Іу
і Аb –
відповідно, момент інерції та площа
перерізу окремої гілки, взяті за сортаментом;
с ‒ відстань між осями гілок;
А
= 2Аb ‒ площа перерізу колони із двох гілок.
13.
Обчислюють гнучкість колони відносно
вільної осі У1 – У1
,
де ly1 ‒ розрахункова довжина
колони.
14.
Обчислюють приведену гнучкість колони
відносно вільної осі У1 -У1:

де lу1 ‒ гнучкість колони відносно вільної осі У1-У1;
lb =
‒
гнучкість окремої гілки на довжині між планками (тут lb ‒
відстань між планками у просвіті, в першому наближенні визначена, а кінцевий
результат уточнюється при конструюванні колони після розрахунку бази та
оголовка); іу ‒ радіус інерції окремої гілки, прийнятий із сортаменту.
15.
Перевіряють стійкість колони відносно
вільної осі У1-У1
,
де N
‒ розрахункове навантаження
на колону; А = 2Аb –
площа перерізу наскрізної колони; jу1 -
коефіцієнт поздовжнього згину, приймається за
таб.72 [3] залежно від гнучкості lef,
визначеної в п.14 і розрахункового опору Ry.
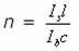
1.
Обчислюємо умовну поперечну силу
![]()
де E =2,06×105 MПа – модуль пружності
сталі; Ry - розрахунковий опір
сталі стержня колони, N ‒
розрахункове навантаження на колону; j ‒
коефіцієнт поздовжнього згину, прийнятий за lеf .
2.
Умовна поперечна сила системи планок,
розміщених в одній площині (рис. 14.2.а),
![]()
3.
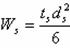
Розрахункові зусилля в планці:
- перерізуюча
сила
,
- момент
,
де l ‒ відстань
між осями планок; с ‒ відстань між осями гілок.
4.
Перевірка міцності планок на згин за
нормальними напруженнями
,
де
– необхідний момент опору планки.

5. Розрахунок кутових
швів, які кріплять планки до гілки
колони виконують за рівнодіючими напруженнями, що виникають від моменту
Мs і
зсуваючої сили Fs.
Розрахунок кутових швів
виконують в такій послідовності:
а) за табл.34*[3]
приймають коефіцієнт b, а за табл.56 [3]
– розрахунковий опір шва Rwf;
б) за табл. 38*[3]
приймають катет кутового шва kf і довжину шва lw = ds;
в) обчислюють геометричні
характеристики шва:
- площа
перерізу ![]()
- момент
опору ![]()
г) нормальні та дотичні
напруження в перерізі кутового шва:
![]()
д) перевіряють міцність
кутового шва планки на дію рівнодіючого напруження
![]()
де ‒ gwf = 1 – коефіцієнт умови
роботи шва; gс =
1 – коефіцієнт умови роботи конструкції.
Перенапруження колони не допускається.
14.3. Конструкція
та розрахунок вузлів колон: оголовків, баз, спряження балок з колонами
Основними вузлами колон є оголовки та бази.
Оголовки колони складається з опорного листа, яким завершується колона,
вертикальних ребер (через них на стержні колони передаються опорні реакції
розміщених вище конструкцій) та горизонтальних ребер чи діафрагм, що разом з
вертикальними ребрами забезпечують місцеву стійкість елементів перерізу колони
у місці прикладення зосереджених навантажень (рис. 14.3).
Висоту оголовка приймають з міркувань забезпечення
жорсткості вузла h = (0,5...0,7) b, де b ‒ більший з основних розмірів перерізу колони.
Міцність вертикальних ребер та зварних швів, їх
кріплення до колони перевіряють за сумою опорних реакцій конструкцій, які
спираються на оголовок. Горизонтальні ребра й діафрагми конструюють, як
проміжні ребра жорсткості. Товщину опорної плити приймають конструктивно
16...30 мм.

Товщина вертикального ребра з умови міцності
становить:
,
де
F ‒ сумарна опорна реакція конструкцій, що спираються
на оголовок;
‒ розрахункова ширина прикладення сили F; bb ‒ ширина опорного ребра балки; t ‒ товщина опорної плити; а ‒ сумарна ширина вирізу ребра (для конструкцій рис.
14.3, б виріз відсутній а = 0).
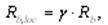
Окрім цього, перевіряють міцність вертикальних
ребер і стінки колони на зріз у площинах, що прилягають до швів їх взаємного
кріплення:
,
де n ‒ кількість площин зрізу: для ребер п = 2, для стінки суцільної колони (рис. 14.3, а) також п = 2, а для стінок наскрізної колони (рис. 14.3, б) п = 4.
Шви кріплення ребер до стінок колон розраховують як
кутові флангові на дію зусилля F. В обох конструкціях, зображених на рис. 14.3, це зусилля сприймається
чотирма швами.
Верхню грань ребер доцільно
фрезерувати чи стругати. Цим забезпечується щільний контакт ребер з опорною
плитою і передача зусилля саме через контактну поверхню, а зварні шви приймають
конструктивно. В іншому випадку шви, що з’єднують ребро з опорною плитою,
розраховують на дію цього зусилля як кутові лобові, прийнявши їх розрахункову
довжину lw = le!. В обох випадках (рис. 14.3) з’єднання виконано двома швами.
Конструкції опорних столиків для приєднання балок
до колон збоку зображені на рис. 14.4. Найчастіше опорним столиком служить
торець товстого листа t = 30...40 мм, привареного до колони. Поверхню цього торця вирівнюють
механічною обробкою (фрезерують чи простругують). Висота столика h визначається довжиною швів,
необхідних для передачі зусилля, прикладеного до опорного столика.

Місцеву стійкість стінки у вузлі забезпечують
ребрами жорсткості (рис. 14.4, а) чи діафрагмою (рис. 14.4, б), встановленими у
місці прикладення опорної реакції. Конструювання ребер жорсткості (їх розміри)
та діафрагми здійснюють, як це зазначалося вище.
Найпоширеніші конструкції баз колон зображені на
рис. 5.43—5.45. Найчастіше використовують бази з траверсами (рис. 5.43, 5.44),
де траверси є допоміжними елементами, які сприяють рівномірному навантаженню
опорної плити. Цим досягають зменшення товщини плити.
Розрахунок бази з
траверсою виконують в наступному порядку:
1.
Обчислюють ширину опорної плити:
![]()
де h –
висота перерізу гілки (двотавра, швелера);
(8…16) мм – товщина листів траверси;
=
(50…120) мм – виліт консолі, необхідний для розміщення анкерних болтів.
Кінцеву ширину плити
приймають кратною 50 мм.
2. Обчислюють розрахунковий опір бетону місцевому
зім'яттю під опорною плитою бази, МПа
![]()
де
‒ розрахунковий опір бетону осьовому стиску (залежить від класу бетону; для В 12.5,
= 7,5 МПа, для В 15;
= 8,5 МПа);
g = 1,2 – коефіцієнт, який враховує збільшення міцності
бетону при місцевому зім'ятті.
3. Необхідна площа опорної плити бази
![]()
де N –
розрахункове зусилля в колоні;
‒ розрахунковий опір бетону.
4. Розрахункова довжина плити
.
З конструктивних міркувань довжина опорної плити повинна
бути
, де b –
ширина перерізу колони;
– розмір, який
забезпечує зручність розміщення отворів для анкерних болтів, приймається для
колон із двох швелерів
= (70…80)мм, а
для колон із двох двотаврів
мм (тут
– ширина полиці
двотавра).
З урахуванням наведених вище рекомендацій розмір
також
заокруглюють, приймаючи кратним 50 мм.
5. Обчислюють напруження в бетоні під плитою
![]()


6. Обчислюють величину розрахункового моменту в опорній
плиті бази
Опорна плита бази працює на згин, як пластина,
завантажена рівномірно-розподіленим по площі контакту відпором фундаменту
і оперта на
елементи бази колони. Виходячи з умови опирання вся площа опорної плити
розділяється на розрахункові ділянки (рис. 14.5, 14.6, 14.7):
1 – консольні; 2 – оперті на три сторони; 3 – оперті на
чотири сторони.
Для кожної із виділених ділянок опорної плити обчислюємо
максимальний згинальний момент:
Ділянка 1.
На цій ділянці плита працює як консольна балка і
максимальний згинальний момент:

де ![]()
см – реактивний
тиск фундаменту на плиту в кН/см для смужки шириною 1 см;
‒ довжина консольної ділянки плити.

Ділянка 2.
На цій ділянці, плита працює як пластина, оперта на три
сторони. Найбільш напруженою точкою є середина вільної сторони, де максимальний
згинальний момент:
![]()
де
– довжина
вільного краю плити, приймається рівній висоті перерізу швелера, або двотавра
гілки колони (для колон суцільного перерізу
– ширині полиці
двотавра);
b – коефіцієнт, який
залежить від відношення довжини закріпленої сторони пластини
до вільної
і приймається з
табл. 1.
Таблиця 1
|
Коефіцієнт |
Співвідношення сторін |
|||||||||
|
β |
0,5 |
0,6 |
0,7 |
0,8 |
0,9 |
1,0 |
1,2 |
1,4 |
2,0 |
› 2 |
|
0,060 |
0,074 |
0,088 |
0,097 |
0,107 |
0,112 |
0,120 |
1,126 |
0,132 |
0,133 |
|
Розмір
визначається
наступним чином:
а) для перерізу із двох швелерів
;
б) для перерізу із двох двотаврів
,
де
- довжина
опорної плити; b – ширина перерізу колони;
tw
‒ товщина стінки
двотавра, см;
в) для суцільного перерізу
,
де h –
висота перерізу колони.
При
0,5 плиту необхідно розраховувати, як консольну балку
з вильотом консолі
і максимальний
момент буде
.
Ділянка 3.
Розрахунок плити на цій ділянці проводиться як пластини,
опертої на чотири сторони. Максимальний згинальний момент:
,
де a ‒ коефіцієнт, який залежить від відношення більшої сторони
пластини до меншої, приймається за табл. 2;
‒ довжина коротшої сторони пластини.
Значення
коефіцієнта a для
плити опертої на чотири сторони
|
Коефі- цієнт |
Відношення
більшої сторони до
меншої |
|||||||||||
|
α |
1 |
1,1 |
1,2 |
1,3 |
1,4 |
1,5 |
1,6 |
1,7 |
1,8 |
1,9 |
2,0 |
› 2 |
|
0,048 |
0,055 |
0,063 |
0,069 |
0,075 |
0,081 |
0,086 |
0,091 |
0,094 |
0,098 |
0,1 |
0,125 |
|
Необхідно прагнути, щоб
згинальні моменти на окремих ділянках опорної плити були близькими за
величиною, що є показником економічності бази. Зменшити величини згинальних
моментів можливо за рахунок встановлення діафрагм або ребер жорсткості.
7. Товщину плити обчислюють із умови міцності на згин за
найбільшим із знайдених моментів (
).
,
де b = 1 см.
Товщину опорних плит приймають в межах 16…50 мм.
8. Обчислюють висоту траверси.
Зусилля від колони на траверсу передається через
вертикальні кутові шви, довжина яких і визначає висоту траверси

де N –
розрахункове зусилля в колоні; n = 4
– якщо кожна гілка кріпиться до траверси двома зовнішніми швамик і n = 8;
– якщо кожна гілка кріпиться до траверси чотирма зовнішніми швамик;
0,7 – коефіцієнт глибини провару шва – для ручного
зварювання (табл. 34*[3]);
- катет кутових
швів, приймається
;
‒ розрахунковий опір кутових швів зрізу по металу шва,
приймається за табл. 56[3], залежно від типу зварного матеріалу.
Висоту
траверси заокруглюють до 10 мм і повинна вона задовольняти наступні
конструктивні вимоги:
а)
, де
b – ширина перерізу
колони;
б)
мм;
в)

Розрахунок
оголовка колони
Прийняте в розрахунку
шарнірне сполучення балки з колоною здійснюється опиранням балки на колону
зверху. При опиранні конструкції зверху стержень колони в верху закінчується
оголовком (рис. 14.8),
який складається з плити і ребер, які підтримують плиту. Ребра передають навантаження на
стержень колони.
Розрахунок оголовка
виконують в наступному порядку:
1.
Визначають розміри плити оголовка:
а) товщина плити оголовка
призначається конструктивно і приймається в межах 20…25мм;
б) розміри плити оголовка
в плані Впл1 і Lпл1
залежать від габаритних розмірів перерізу стержня (рис. 14.8):
для колони із двох
швелерів:
- довжина плити: Lпл1 = b +
40 мм;
-
ширина плити ; Впл1 = h +
40 мм;
для колони з двох
двотаврів:
-
довжина плити Lпл1 = b +bf +40 мм,
-
ширина плити Впл1 = h + 40
мм;
для колон суцільного
перерізу:
-
довжина плити Lпл1 = h +t f +40 мм
-
, ширина плити Впл1
= bf + 40
мм.
Тут: b -
ширина перерізу наскрізної колони; h – висота перерізу; bf -
ширина полиці швелера або двотавра; t
f – товщина полиці зварного
двотавра.

Розміри плити оголовка в
плані приймають кратними 10 мм. Для фіксації положення головних балок на колоні
в опорній плиті оголовка встановлюють отвори діаметром d = 23…27 мм
під болти діаметром d =
20…24 мм, осі яких повинні співпадати з осями відповідних
отворів, виконаних в опорній частині нижнього поясу балок, які опираються на
колону.
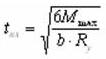
2. Товщина опорного ребра
оголовка визначається з умови роботи його на зминання по контакту з плитою
оголовка:
,
де N ‒ розрахункове зусилля в колоні; lef – розрахункова довжина площини зминання, см;
визначається за виразом lef = bs
+ 2∙tпл1, (тут bs –
ширина опорного ребра головної балки); tпл1 –
товщина плити оголовка; Rp
– розрахунковий опір сталі зминанню торцевої поверхні приймається за
табл. 52*[3]
залежно від тимчасового опору прокату, який встановлюється за табл. 51*[3] залежно від матеріалу опорного ребра. Отриману товщину
опорного ребра необхідно заокруглити в більшу сторону до величини, яка
відповідає стандартній товщині листової сталі.
3. Визначаємо висоту опорного ребра.
Опорне ребро оголовка
приварюється до стінок гілок колони
чотирма вертикальними кутовими швами у колонах наскрізного перерізу і двома у
суцільних колонах (рис. 14.8),
довжина яких і визначає висоту опорного ребра:

де N ‒ розрахункове зусилля в колоні; βf =
0,7 – коефіцієнт глибини проварювання шва для ручного зварювання (табл.34*[3]); kf
- катет кутового шва, см, який приймається не меншим величини, вказаної в
табл. 38* [3], і не більше 1,2tmin
(тут tmin ‒ менша з товщин зварювальних елементів, тобто ts1 ‒ товщини опорного ребра або tw ‒ товщини стінки
швелера чи двотавра гілки); Rwf – розрахунковий опір кутових швів зрізу за наплавленим
металом, приймається за табл.56[3] залежно від зварювального матеріалу, який
приймається за табл.55* [3].
З конструктивних міркувань висота опорного ребра повинна
бути не більше 85βf
kf (тут
β f = 0,7 – ручне зварювання) і приймається кратною 10 мм.
4. Опорне ребро оголовка перевіряють також на зріз.
,
де N-
розрахункове зусилля в колоні; hs1 і ts1 - висота та товщина опорного ребра відповідно; Rs -
розрахунковий опір сталі зcуву, визначається за формулою Rs =
0,58Ry ( тут
Ry-розрахунковий
опір сталі, визначається за табл. 51*[3] залежно від марки
сталі опорного ребра; γc =
1 – коефіцієнт умов роботи конструкції (табл.6 [3]).
Щоб придати жорсткості опорному ребру, яке підтримує
плиту оголовка і укріпити стержень колони від втрати стійкості стінки, в місцях
передачі великих зосереджених навантажень
, вертикальне ребро обрамляють знизу горизонтальним
ребром товщиною 10…12 мм (рис. 14.8).