Тема
5. ЦЕНТРАЛЬНО-СТИСНУТІ
КОЛОНИ ТА СТІЙКИ
Лекція 13
13.1. Підбір перерізу наскрізних колон з
граткою
13.2. Робота та
розрахунок з’єднувальних решіток
13.3. Розрахунок
розкісної гратки
13.1. Підбір
перерізу наскрізних колон з граткою
Розрахунок
наскрізних центрово-стиснутих колон
робочих майданчиків передбачає вибір розрахункової схеми, компонування
перерізу, розрахунок стержня, планок і решітки (тільки для наскрізних колон),
розрахунок бази та оголовка.
Вибір розрахункової схеми проводимо аналогічно, як і
суцільних колон.
А.
Розрахунок відносно матеріальної осі Х-
Х (рис.13.1).

Відносно матеріальної осі х ‒ х переріз розглядають як суцільний. На гнучкість
стержня перпендикулярно до вільної осі у‒у значно впливає деформативність з’єднувальних елементів ‒ планок чи решіток. Добір перерізу наскрізної
колони починають з умови забезпечення стійкості відносно матеріальної осі.
Виконують його аналогічно суцільним перерізам.
Відстань між гілками визначають,
виходячи з умови рівної стійкості стержня колони відносно обох осей (рис.
13.1).
Прийнявши попередньо
гнучкість колони l = 50...100 (чим
більше навантаження, тим меншу гнучкість обирають), за табл. 72 [3] визначають
коефіцієнт поздовжнього згину j.
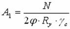
Необхідна площа перерізу
гілки колони, см2
,
де N –
розрахункове зусилля в колоні; Ry –
розрахунковий опір сталі; gс – коефіцієнт умови роботи конструкції.
2.
За
необхідною площею перерізу гілки А1
з таблиць сортаменту приймаємо прокатний швелер ( ГОСТ 8240-89), або двотавр
(ГОСТ 8239-89), для якого
виписуємо необхідні геометричні характеристики: площу перерізу Ав; моменти інерції Jx,,
Jy; радіуси інерції іx,, іy;
ширину полички bf; товщину полички tf
;
координату центра ваги Z0 для
швелера; товщину стінки двотавра та швелера tw..
3. Перевіряємо підібраний
переріз колони на стійкість відносно матеріальної осі х ‒
х для чого:
а) визначаємо гнучкість
колони
,
де lx1 –
розрахункова довжина; ix1 –
радіус інерції перерізу гілки, прийнятий за сортаментом; lu –
гранична гнучкість колони, приймається на даній стадії розрахунку рівною 120.
Якщо lх1>lu, то необхідно прийняти
більший номер швелера або двотавра.
б) залежно від величини гнучкості lх1 та
розрахункового опору Ry за таб.72 [3] приймають
величину коефіцієнта поздовжнього згину jх1 .
в) Перевіряють стійкість
колони відносно матеріальної осі х ‒ х
,
де N –
розрахункове навантаження на колону; Aг –
площа перерізу гілки (швелера або двотавра).
Перенапруження не
допускається, а недонапруження з метою економії сталі повинне бути мінімальним
(до5%).
13.2. Робота
та розрахунок з’єднувальних решіток
Б. Розрахунок стержня колони відносно вільної осі у –у (рис. 13.1).
Розглядаються дві конструктивні схеми гратки: трикутна
(рис.12.4,б) і трикутна з додатковими розпірками (рис.12.4,в).
Кут нахилу розкосів до гілок рекомендується приймати в
наступних межах:
а) для трикутної гратки α = 50…60°;
б)для трикутної з допоміжними розпірками α = 45°
3. Попередньо задаються перерізом розкосу (розпірки
приймаються такого ж перерізу) в виді рівнополичкового кутника, розміром не
менше 50х5, для якого із сортаменту виписують наступні геометричні
характеристики: А1 – площу поперечного перерізу;
– мінімальний радіус інерції перерізу відносно
центральної осі, що перетинає полички кутика.
4. Із умови рівностійкості обчислюють гнучкість колони
відносно вільної осі
,
де λх1 – гнучкість колони відносно
матеріальної осі Х1-Х1;
k – коефіцієнт, який
залежить від кута нахилу гратки до гілок колони (на даній стадії розрахунку
коефіцієнт k
визначають наступним чином: при
= 30, k = 45; при
= 40°, k = 31; при
= 45...60°, k = 20; А=2Аг
– площа перерізу колони; Аd =2А1
– площа перерізу розкосів, які
лежать в площинах перпендикулярних вільній осі перерізу колони; А1 – площа перерізу одного
розкосу.
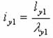
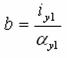
5. Радіус інерції перерізу колони відносно вільної осі у –у:
,
де ly1 –
розрахункова довжина колони; αy1 –
гнучкість колони відносно вільної осі у –у.
6. Необхідна ширина перерізу колони, см
,
де ay1 – коефіцієнт форми перерізу, приймається ay1 =
0,44 – для перерізу із двох швелерів; ay1 =
0,52 – для перерізу із двох двотаврів. і ay1 = 0,
24 – для двотаврового перерізу.

7. Відстань між вузлами гратки (рис. 12.4,б,в):
а) для трикутної гратки
;
б) для трикутної з додатковими розпірками
,
де b – ширина перерізу колони;
– кут нахилу розкосів до гілок.
8. Гнучкість гілки на ділянці між вузлами гратки

де іу
– радіус інерції перерізу гілки, (приймається з сортаменту); λх1
– гнучкість колони відносно матеріальної осі х ‒ х .
Якщо для трикутної гратки умова не виконується, то для
зменшення гнучкості гілки необхідно прийняти трикутну гратку з допоміжними
розпірками (рис. 12.4, в).
13.3. Розрахунок розкісної гратки
Для перевірки стійкості підібраного перерізу відносно
вільної осі необхідно попередньо зробити розрахунок елементів розкісної гратки,
для чого:
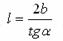
9. Обчислюють розрахункову довжину розкосу:
,
де b
‒ ширина перерізу колони;
‒ кут нахилу розкосів до гілки.
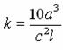
10. Уточнюють величину коефіцієнта k
,
де а ‒ довжина розкосу; с ‒ відстань між центрами гілок (для колони із двох швелерів с = b – 2z0; для колони із
двох двотаврів с = b); l ‒
відстань між вузлами гратки.
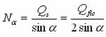
11. Розрахункове зусилля стиску в розкосі (рис. 12.5, д,
е);
,
де
‒ кут нахилу розкосу до гілки; Qfic ‒ умовна поперечна сила в колоні, яка на даній стадії розрахунку визначається, як Qfi c = k1·А (тут А – площа перерізу стержня колони; k1 ‒ коефіцієнт значення якого приймають залежно від величини розрахункового опору Ry: при Ry = 210 MПа ‒ k = 0,2; при Ry = 530
‒ k = 0,7). Для
проміжних значень Ry коефіцієнт k1
визначається інтерполяцією.

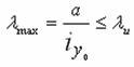
Максимальна гнучкість стиснутого розкосу
,
де а ‒ розрахункова довжина розкосу; іу0 ‒ мінімальний радіус інерції кутика;
гранична гнучкість розкосу, яка на даній стадії
приймається рівною 150 .
Якщо умова не виконується, то необхідно прийняти більший
розмір кутика і повторити розрахунок.
13. Залежно від гнучкості розкосу
і величини
розрахункового опору Ry (приймається,
як для стержня колони) з табл.72[3] встановлюється величина коефіцієнту поздовжнього згину
φ.
14. Прийнятий переріз розкосу перевіряється на стійкість
,
де Nd ‒ розрахункове зусилля стиску в розкосі; φ ‒ коефіцієнт поздовжнього згину розкосу;
- площа перерізу розкосу; Rу – розрахунковий опір сталі елемента гратки; γс
= 0,75 - коефіцієнт умов роботи стиснутих елементів гратки з одиноких
рівнополичкових кутиків, прикріплених лише однією поличкою.
Якщо умова не виконується, то необхідно збільшити переріз
розкосу і повторити розрахунок.
15. Гнучкість колони відносно вільної осі
,
де
‒ розрахункова довжина колони; іу1 – радіус
інерції перерізу колони відносно вільної осі.
16. Приведена гнучкість колони
,
де
‒ гнучкість колони відносно вільної осі; k ‒ уточнене значення коефіцієнта; А ‒ площа перерізу
стержня колони; Ad = 2A1 ‒
площа перерізу двох розкосів.
17. Залежно від величини приведеної гнучкості колони λef,у1 і розрахункового опору Ry
за табл.72 [3], встановлюють значення коефіцієнта
поздовжнього згину φу1.
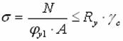
18. Перевіряють стійкість колони відносно вільної осі
,
де N ‒ розрахункове зусилля стиску колони; А ‒ площа перерізу стержня колони;
‒ коефіцієнт поздовжнього згину; Ry
‒ розрахунковий опір сталі; γc ‒ коефіцієнт умов роботи конструкції.
У випадку перенапруження необхідно збільшити ширину
перерізу і повторити розрахунок.
19. Обчислюють необхідну довжину швів для кріплення
розкосів до гілок колони:
- для пера
,
- для обушка
,
де Nd – розрахункове зусилля в
розкосі; βf = 0,7 – коефіцієнт глибини провару шва для ручного зварювання,
приймається за табл. 34*[3]; kf
= t –
1 мм – катет кутового шва (t – товщина полички кутика розкосу); Rwf
‒ розрахунковий опір кутових швів зрізу по металу шва, приймається за табл. 56*[3].
Обчислені довжини швів для пера та обушка заокруглюють до
10 мм і перевіряють їх на відповідні конструктивні вимоги:
(тут
,
але не менше 40 мм;
).
Із
врахуванням непровару довжини швів для пера та обушка збільшують на 10 мм і
враховують їх при конструюванні кріплення розкосів до гілок колони.