Тема
5. ЦЕНТРАЛЬНО-СТИСНУТІ
КОЛОНИ ТА СТІЙКИ
Лекція 12
12.1. Галузі використання
центрально-стиснутих колон і стійок
12.2. Типи суцільних і
наскрізних колон
12.3. Підбір стержня
суцільних колон складеного перерізу
12.1.
Галузі використання центрально-стиснутих колон і стійок
Колони, як і балки,— найбільш поширені конструкції.
Вони призначені для підтримання елементів робочих майданчиків, перекрить,
покрівель, трубопроводів, естакад, шляхопроводів тощо. Навантаженням для колон
є опорні реакції конструкцій, що на них спираються. Далі ці зусилля найчастіше
передаються на фундаменти або, в окремих випадках, на нижче розміщені
конструкції.
Колона складається з трьох елементів:
оголовника — конструктивного елемента, на який безпосередньо передаються опорні
реакції конструкцій, що спираються на колону;
бази — елемента, який передає зусилля колони на бетон фундамента;
стержня — основного конструктивного елемента, який передає навантаження з
оголовника на базу.
Матеріалом металевих колон найчастіше є сталь. У
минулому були поширені чавунні колони. Але маса таких колон велика. Окрім
цього, з’єднання чавунних колон з іншими конструкціями складне. Алюмінієві сплави
застосовують рідко через високу вартість матеріалу і низьку загальну та місцеву
стійкість. За конструкцією колони можуть бути суцільного перерізу та наскрізні.
12.2. Типи суцільних і наскрізних колон
Найдешевшими є колони з прокатних широко-поличкових
двотаврів (рис. 12.1, а),
ширина перерізу яких наближена до висоти. Звичайні
двотаври невигідні, тому що мала ширина перерізу спричинює їх низьку стійкість у площині, паралельній
поличкам.
При великих навантаженнях (5000 кН і більше)
доцільні складені суцільні перерізи. Найпростіші й економічніші зварні двотаври
(рис. 12.1, б), які виготовляють на потокових високомеханізованих та
автоматизованих лініях.

Менш економічно вигідними за витратами металу, але
простішими у виготовленні (особливо в умовах будівельного майданчика) є колони
з прокатних профілів (рис. 12.1, в). Але через обмеженість сортаменту вони
мають відносно невелику несучу здатність. З прокатних профілів можуть
компонуватися як відкриті, так і замкнені перерізи. Колони замкненого перерізу
мають кращий зовнішній вигляд і близьку чи рівну загальну стійкість у всіх
напрямках. Але їхні внутрішні поверхні недоступні для огляду і захисту від
корозії. Тому при підвищеній агресивності зовнішнього середовища внутрішній
об'єм таких колон треба герметизувати, що найпростіше виконати у колонах з труб
(рис. 12.1, г), але приєднання до них інших конструкцій є складним.
При великих навантаженнях і малих розрахункових
довжинах і розмірах перерізу (наприклад, колони багатоповерхових висотних
будівель) застосовують суцільні прямокутні перерізи, набрані з окремих листів,
зварених між собою (рис. 12.1, д).
Легкі колони під невеликі навантаження можуть бути
виконані з гнутих профілів (рис. 12.1, е).
Стержень наскрізної колони складається з окремих
гілок, з’єднаних між собою за допомогою планок чи решіток (рис. 12.2). Використовують такі колони
при відносно невеликих навантаженнях (до 5000...6000 кН) і значній висоті, коли
вимоги до жорсткості високі. Порівняно з суцільними вони вимагають більших
витрат праці на виготовлення.
Прозір між вітками приймають, виходячи з умови
стійкості, але не меншим за 100...150 мм, щоб забезпечити вільний доступ до
внутрішніх поверхонь для їхнього очищення і нанесення антикорозійних захисних
покрить.
Спільна робота окремих гілок перерізу
забезпечується решітками чи планками. Схему граток найчастіше приймають
трикутною чи трикутною з проміжними стояками. Широко використовують і
безрозкісне рішення у вигляді планок. З’єднання з допомогою решіток має більшу
жорсткість, але трудомісткіше у виконанні. Безрозкісне з’єднання планками простіше у
виготовленні і естетичніше. Воно найчастіше використовується у відносно
невеликих колонах із зусиллями до 2000...3000 кН і незначною висотою. Розкісні
решітки стають вигіднішими при великих відстанях між вітками колони b ≥ 800...1000 мм (див. рис. 12.2), коли планки дуже громіздкі.
Для підвищення жорсткості колон на скручування від
випадкових дій і впливів при виготовленні та під час монтажу і збереження
незмінності контуру у наскрізних колонах передбачають діафрагми через 3...4 м
по висоті.

12.3. Підбір стержня суцільних колон складеного перерізу
Розрахунок суцільних центрово-стиснутих колон робочих майданчиків
передбачає вибір розрахункової схеми, компонування перерізу, розрахунок бази та
оголовка.
Вибір розрахункової схеми. Вибір розрахункової схеми передбачає визначення діючого
на колону навантаження, встановлення геометричних і розрахункових довжин
колони, а також вибір способів закріплення її кінців.
Розрахункове навантаження,
що діє на колону, складається із суми опорних реакцій головних балок Qmax.
При опиранні на колону двох головних балок (рис.1,а) величина розрахункового
навантаження на колону:
![]()
Геометрична довжина колони lc
(рис.1,б) приймається рівною відстані від верху фундаменту до верху плити
оголовка і залежить від наступних параметрів:
H - відмітки верху настилу робочого
майданчика, що встановлюється за індивідуальним завданням;
–
заглиблення бази нижче відмітки чистої підлоги;
- виступаючої вниз
частини торцевого опорного ребра головної балки
(для балок з внутрішнім опорним ребром а1 = 0);
h0 -
будівельної висоти перекриття робочого майданчика, яка залежить від типу
сполучення балок настилу з головними балками:
–
при поверховому сполученні балок;
–
при сполученні балок на одному рівні,
де h - висота головної балки, м; h2 -
висота балки настилу, м ; t -
товщина настилу, м.
З урахуванням викладеного,
геометрична довжина колони,
![]()
Розрахункова довжина колони визначається за формулою:
![]()
де lc – геометрична довжина колони (рис.12.2);
m – коефіцієнт
зведення довжини стержня.

Розрахунок стержня. Розрахунок стержня
колони проводиться в наступному порядку:
1. Задається гнучкість стержня в межах λ
= 60…80.
2. За заданою для стержня колони маркою сталі (для товщин
листової сталі t = 20…30 мм) з табл. 51*[3] встановлюється величина розрахункового опору сталі
розтягу, стиску, згину за межею текучості Ry, МПа.
3.
З
таблиці 72[3] залежно від прийнятої
гнучкості λ та величини
розрахункового опору Ry приймають
коефіцієнт поздовжнього згину φ.
4. Обчислюють необхідну площу перерізу колони:
,
де N –
розрахункове зусилля в колоні; φ
– прийнятий коефіцієнт поздовжнього
згину; Ry – розрахунковий опір сталі колони; γс
= 1 – коефіцієнт умов роботи конструкції, який встановлюється за табл.6* [3].
5. Обчислюють необхідний радіус інерції перерізу і, що відповідає заданій гнучкості:

де lef – розрахункова довжина
колони; λ – задана гнучкість
колони.
6. Обчислюють необхідні габаритні розміри перерізу колони
(рис. 12.3):
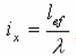
ширина перерізу ![]()
висота перерізу ![]()
де
– коефіцієнти форми перерізу для симетричного двотавра.
Значення коефіцієнтів αу1 і αх1 кожного з видів перерізу змінюються у відносно
вузьких межах. Так, для труб
. Для інших профілів ці коефіцієнти приймають
згідно з довідковою літературою.

7. Знаючи необхідну площу А і габаритні розміри b і h перерізу колони, з врахуванням сортаменту на листову сталь і умов місцевої
стійкості підбирають товщину полиць tf і стінки tw.
Для підвищення
економічності перерізу колони необхідно прагнути до такого розподілу загальної
площі перерізу, щоб приблизно 80% її приходилось на полиці, тобто Аf = 0,8А,
а залишок 20% – на стінку, тобто Аw = 0,2А.
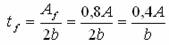
Після цього визначають:
товщину полиць:
,
товщину стінки :
,
де b – ширина перерізу колони; hw –
висота стінки; визначається за формулою:
,
де h –
висота перерізу колони; tf
– товщина полиці.
Отримані товщини полиці та
стінки необхідно заокруглити до величин, що відповідають стандартним величинам
універсальної листової сталі. При цьому товщина полиці повинна знаходитись в
межах tf = (8…40) мм, а стінки – tw =
(8…14) мм.
8. За прийнятими вище розмірами b, h, hw, tf і tw
поперечного перерізу колони обчислюють необхідні
геометричні характеристики:
- площа поперечного
перерізу: ![]()
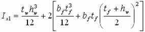
- моменти інерції відносно головних центральних осей:
,
,
- радіуси інерції перерізу: ![]()
9. Обчислюють гнучкості колони

λи –
гранична гнучкість колони, яка не повинна перевищувати максимальну величину
рівну 120.
Гранична гнучкість λи
для кожного конкретного випадку визначається наступним чином:
а)
по більшій з гнучкостей λx1 чи
λy1 та розрахунковому опору Ry за табл. 72 [3] встановлюють величину поздовжнього
згину φmin
і обчислюють коефіцієнт
,
який повинен прийматись не менше 0,5; (тут
N - розрахункове зусилля в колоні; А – площа
поперечного перерізу колони; Ry – розрахунковий опір стиску матеріалу колони;
γс = 1 – коефіцієнт умов
роботи констркції).
б) знаючи
коефіцієнт α, розраховують
величину граничної гнучкості колони λи = 180 - 60·α.
Якщо більша з гнучкостей
λх1 чи λу1
буде перевищу-вати
граничну, тобто λmax > λи, то слід збільшити розміри перерізу колони і повторити розрахунок, добиваючись
виконання умови λmax
≤ λи.
10. Перевіряємо підібраний переріз колони на стійкість:
,
де N – розрахункове зусилля в колоні; φmin – коефіцієнт поздовжнього згину, прийнятий за
з табл.72 [3]; А – площа поперечного
перерізу колони; γс = 1 – коефіцієнт умов роботи конструкцї,
приймається за табл.6 [3].
Перенапруження не допускається, а недонапруження з ціллю
економії сталі повинне бути мінімальним (до 5%).
Перевіряємо місцеву стійкість елементів суцільної колони
складеного зварного двотавра.
11. При
місцева
стійкість буде забезпечена якщо:
- для полички 
- для стінки
,
але

де
- умовна гнучкість стержня колони, розраховується за
формулою
( тут λmax -
більша з гнучкостей колони λx1
чи λy1).
Якщо умови не виконуються, то стінку укріплюють
посередині парними поздовжніми ребрами жорсткості, які включаються в
розрахунковий переріз колони.
Якщо
, то для укріплення контуру перерізу колони ставлять ще і поперечні ребра
жорсткості (рис. 12.2) на відстані (2,5…3)hw,. Мінімальні розміри ребер жорсткості приймають як у
зварних балках складеного перерізу.
, у випадку
‹ 0,8 і
= 4 у випадку
≥ 4.
Якщо умови не задовільняються, то
переріз збільшують. Доцільно збільшувати генеральні розміри перерізу. Порівняно з нарощуванням
товщини поличок і стінки при незмінних основних розмірах це сприяє економії
металу.
Значні запаси стійкості та міцності свідчать про
перевитрати металу і потребу зменшити переріз. Будь-яка зміна перерізу повинна
завершуватися перевіркою його міцності та стійкості.
Розміри поясних швів приймають конструктивно
найменшими з умови зварюваності. У колоні, яка працює на центральний стиск, усі
частини перерізу напружені рівномірно і зусилля зсуву між окремими частинами перерізу відсутні. Невеликі
зусилля зсуву з’являються при випадкових ексцентриситетах прикладення осьової сили, деякій
непрямолінійності осі колони, незначних поперечних навантаженнях. Саме тому
поясні шви і приймають якнайменшими.
Рекомендуються односторонні шви. Лише у місцях приєднання балок, розпірок
та інших елементів у зоні передачі зусиль передбачають двосторонні шви, які
виступають за контур прикріплюваного елемента на 30 kf з обох боків. Не допускається
використання односторонніх швів у конструкціях групи І, експлуатованих у
середньо- та сильноагресивних середовищах, і тих, що зводяться у кліматичних
районах І1, І2 , ІІ2, ІІ3.