Тема 4: ЗАГАЛЬНА ХАРАКТЕРИСТИКА БАЛОК І БАЛКОВИХ
КЛІТОК
Лекція
8
8. 1. Загальна характеристика балок і балкових кліток.
Компонування балкових конструкцій
8.3. Підбір перерізу прокатних балок
8. 1. Загальна
характеристика балок і балкових кліток. Компонування балкових конструкцій
Балками називають елементи, довжина яких значно
перевищує розміри перерізу, що працюють на поперечний згин та мають суцільний
переріз. Це одні з найпоширеніших конструкцій, які використовують як несучі
елементи в перекриттях і покрівлях будівель та споруд, робочих майданчиків,
естакад, галерей, у мостах тощо. Балки застосовують як при малих (наприклад,
прогони легких покрівель), так і значних навантаженнях (балки мостів,
підкранові балки тощо).
Найраціональнішими є балки довжиною до 20 м, хоча
при інтенсивних навантаженнях ділянка раціональних прольотів збільшується. Так,
з успіхом експлуатуються балкові мости з прольотами до кількох сотень метрів.
За статичною схемою балки поділяють на однопролітні розрізні, консольні та нерозрізні
багатопролітні (рис. 8.1). За
витратою металу ефективнішими є нерозрізні та консольні балки. Але
трудомісткість їх виготовлення та монтажу вища, ніж однопролітних.

Найчастіше проектують металеві балки двотаврового
перерізу (рис. 8.2). Такий переріз економічний щодо витрати металу і зручний у
конструюванні. Застосування двостінних балок виправдано лише при наявності
значних крутних моментів. Легкі балки часто виготовляють зі швелерів
(наприклад, прогони). Економічними є й балки з перфорованою стінкою, які
виготовляють шляхом розрізування прокатних двотаврів по ламаній лінії з
подальшим зварюванням виступних частин.
Залежно від прольоту та навантаження балки
виготовляють: з прокатних, пресованих та гнутих профілів (рис. 8.2, а, б, в) і
складеного перерізу (рис. 8.2, г, д).

Проектуючи конструкції, необхідно пам’ятати, що
балки складеного перерізу дорожчі й трудомісткіші. Їх використання обгрунтоване
лише тоді, коли прокатні чи гнуті профілі не задовольняють вимоги міцності,
жорсткості, стійкості тощо.
Серед балок складених перерізів більш економічними
є балки, в яких елементи перерізу з’єднані зварюванням. Трудомісткість
виготовлення клепаних балок вища приблизно на 20 %, а металомісткість — на 15
%. Застосування клепаних балок доцільне при значних змінних та динамічних
навантаженнях, оскільки вони краще витримують дію таких навантажень.
З метою економії рекомендується використовувати у
найбільш напружених ділянках поясів сталі підвищеної міцності, виконуючи всі
інші частини з менш міцної вуглецевої сталі (так звані бісталеві балки).
Знаходять застосування і попередньо напружені металеві балки, які внаслідок
внутрішнього перерозподілу зусиль і використання високоміцних сталей мають
зменшену металомісткість і вищу жорсткість.
Балки використовують як у вигляді окремих несучих
конструкцій (наприклад, підкранові шляхи), так і у вигляді системи перехресних
балок (так званих балкових кліток). Поверх балкових кліток влаштовують настил.
Розглянемо найбільш поширені типи балкових кліток.
Спрощений (рис. 8.3, а)
— складається з балок лише одного напрямку, які
найчастіше спираються на несучі стіни. Тут корисне навантаження сприймається
настилом, передається на балки і далі на стіни.
Нормальний тип (рис. 8.3, б)
містить дві системи балок: головні балки та балки настилу, що спираються на головні. Корисне навантаження настилом передається на балки
настилу, які, в свою чергу, передають його на
головні, а ті — на опори.
Ускладнений
тип (рис. 8.3, в) крім головних балок і балок
настилу містить ще й допоміжні. Ланцюжок передачі навантаження такий: настил —
балки настилу — допоміжні балки — головні балки — конструкції опор (наприклад,
колони).
Найпоширенішим і найдешевшим є спрощений тип
балкової клітки. Його застосування доцільне при малих прольотах, коли балки
можуть бути виконані з прокатних, гнутих чи пресованих профілів. Крок балок
зумовлений конструктивним рішенням настилу.

Широко використовують і нормальний тип балкових
кліток. Головні балки, як правило, мають складені перерізи, а балки настилу
виготовляють з прокатних, гнутих чи пресованих профілів. Крок головних балок —
3...6 м, а балок настилу залежить від матеріалу настилу — 0,6...1,6 м при
металевому і 2,0...3,5 м — при залізобетонному.
Ускладнений тип застосовують порівняно рідко, лише
при розрідженій сітці колон і значних навантаженнях. Це найбільш конструктивно
складний і трудомісткий тип балкової клітки.
Можливі два типи з’єднань балок у системі балкової
клітки ‒ спирання зверху і приєднання збоку ( рис. 8.4.).

Спирання зверху (поверхове розміщення балок) — другорядні балки встановлюють на верхній пояс
головних. З’єднання найбільш зручне як під час виготовлення конструкцій, так і
їх монтажу, але потребує великої конструктивної висоти перекриття (рис. 8.4,
а);
Приєднання збоку — другорядні балки приєднують до основних збоку через ребра жорсткості чи
опорні столики (рис. 8.4, б, в, г). Застосовується при обмеженій висоті перекриття.
Основним типом настилів є
монолітний і збірний залізобетон. Дерев’яні настили використовують обмежено
через малу довговічність. Сталеві настили зумовлюють збільшення витрат металу і
тому допускаються лише при належному техніко-економічному обгрунтуванні. Найчастіше
їх використовують у металургійній та хімічній промисловостях, для яких
характерні підвищена температура і агресивність середовища.
Для настилів найчастіше
використовують сталеві листи завтовшки 6... 14 мм. При товщинах 6...10 мм
використовують листи з рифами на поверхні (рифлені, ромбічні або чечевичні), а
при більших — гладкі. Поверх гладкого сталевого настилу обов’язково влаштовують
нековзку підлогу. Настили майданчиків, розміщених у приміщеннях вибухово
небезпечних підприємств, доцільно виконувати наскрізними та з матеріалів, що не
дають іскор. При невеликих навантаженнях (3...7 КПа) і прольотах (500...1400
мм) використовують просічно-витяжну сталь. У ряді випадків, коли це зумовлено
технологічними вимогами (наприклад, поблизу обладнання та комунікацій), настил
виконують знімним.
Товщину плоских настилів обчислюють залежно від
навантаження g, відносних граничних прогинів f/l (де f — прогин, а l — проліт
настилу) та статичної схеми.
У незнімних конструкціях настили приварюють до
балки. Під навантаженням у них виникають напруження як від згину, так і від
розтягу (рис. 8.5). При співвідношенні l/t < 50 (де t — товщина настилу) настил жорсткий
і напруження від розтягу незначні. Навпаки, при l/t > 300 настил гнучкий і незначним є напруження від
згину. У будівництві найчастіше використовують настили зі співвідношенням 50
< l/t < 300, коли напруження від розтягу і згину
співмірні. У цьому
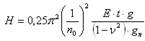
випадку для обчислення потрібної товщини настилу чи
найбільшого його прольоту можна скористатися рівнянням Тимошенка—Телояна:
![]()
де
- відношення прольоту настилу до граничного
значення його прогину; gп
– тимчасове нормативне навантаження на настил;
Е = 2,06‧105
МПа - модуль пружності прокатної сталі; ν
– коефіцієнт Пуассона (для сталі ν = 0,3).
У графічній формі рівняння Тимошенка—Телояна подано
на рис. 8.5.
Горизонтальну опорну реакцію, на дію якої необхідно
розрахувати шви кріплення настилу до балок, обчислюють за формулою
![]()
Знімні настили виконують у вигляді панелей чи щитів і
відповідно розраховують.

8.3. Підбір
перерізу прокатних балок
Найпоширенішими і найекономічнішими типами профілів
балок є прокатні двотаври та швелери, гнуті швелери та пресовані профілі,
близькі за формою до двотаврів чи швелерів. В умовах плоского згину ефективніші
двотаврові та подібні до них профілі. Швелери асиметричні, а тому їх згин
супроводжується скручуванням, водночас вони краще працюють на косий згин. Окрім
цього, відносно ширша, ніж у двотаврів поличка створює певні конструктивні
зручності при спиранні на них настилів.
Згідно з чинним сортаментом у профілів, які використовують для балок, місцева
стійкість елементів перерізу найчастіше забезпечена. Винятком є лише гнуті
профілі. Загальна стійкість балки забезпечується настилом, що спирається і
кріпиться до неї по всій довжині. Тому добір перерізу виконують, використовуючи
рівняння міцності:
![]()
Обчисливши найбільший згинальний момент у балці Мтах та
призначивши марку матеріалу і його розрахунковий опір
Ry, визначають потрібний момент опору:

Далі, згідно з сортаментом, встановлюють найближчий номер профілю, момент
опору якого не менший за потрібний.
Визначивши розміри профілю, перевіряють його на міцність, стійкість та
жорсткість.
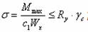
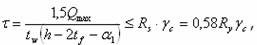
Перевірки балки прийнятого перерізу:
Перевірка міцності за I групою граничних станів:
- за нормальними напруженнями
![]()
- за дотичними напруженнями
![]()
де h ‒ висота перерізу балки; tw
‒ товщина стінки
перерізу балки; tf
‒ товщина полички перерізу балки;
α1 =2 см – розмір, який враховує зменшення висоти стінки
через вирізи поличок
для з’єднання з
головною балкою; 1,5 –
коефіцієнт, який враховує ослаблення опорного перерізу стінки отворами під
болти.
Те
ж саме, при поверховому сполученні балок:

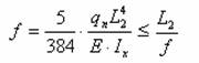
Перевірка
жорсткості балки (II
група граничних станів):
