Тема 6. Довговічність бітумних та дьогтьових матеріалів та визначення їх
технічних характеристик.
1.
Довговічність бітумних та
дьогтьових матеріалів
2.
Основні характеристики бітумних
та дьогтьових матеріалів
Старіння бітумних
та дьогтьових матеріалів пов'язане з протіканням окис-нювальних процесів під
впливом повітря, теплоти, сонячного світла, а особливо ультрафіолетового
випромінювання. Спочатку, внаслідок кристалізації смол, утворюються асфальтени,
що беруть участь у формуванні коагуляційної структури, яка далі (при наступній
кристалізації асфальтенів) перетворюється в жорстку просторову структуру. З
часом ця структура починає руйнуватися внаслідок утворення локальних місцевих
перенапружень, що і призводить до старіння матеріалу.
При дії вітру має
місце швидке вимерзання води, яке супроводжується зростанням крихкості та
кількості мікропор і тріщин у структурі матеріалів. Зі збільшенням у складі
бітумів сполук, що містять кисень, азот та сірку, стабільність матеріалів на
його основі зменшується. Для підвищення довговічності бітуму до його складу
вводять антиокислювальні добавки (каучук) та покривають їх алюмінієвою чи
мідною фольгою.
Поряд з
вищенаведеними причинами старіння бітуму, крім окислення та полімеризації,
також треба виділити синерезис та емульгування.
Синерезис - це самозагущення
бітумних мас внаслідок структурних перетворень, що відбуваються під впливом сил
тяжіння та навантаження. З бітуму починає поступово виділятися рідка фаза
(масла та смоли), яка потім або сорбуєть-ся мінеральними компонентами, або
виступає на поверхні у вигляді «масляних» плям.
Емульгування
пов'язане з наявністю у компонентах суміші поверхнево-активних речовин або
домішок глини та вапна. Частковий перехід бітуму в емульгований стан призводить
до зниження адгезійних властивостей та деякого розшарування матеріалу.
Завдяки складності
та високому ступеню полімеризації сполук, які входять до складу бітумів, вони
мають відносно високу кислотостійкість. Проте при тривалій дії концентрованих
розчинів мінеральних кислот бітумні матеріали руйнуються. Бітуми та композиції
на їхній основі, виготовлені з використанням кислотостійких заповнювачів, є
стійкими до дії сульфатної кислоти (концентрацію до 50%), хлористоводневої
(концентрацію до30%), нітратної (концентрацію до 25%), оцтової (до 70%),
фосфатної (до 80%). Тривала дія концентрованих водних розчинів (до 40...45%)
їдких лугів та карбонатів лужних металів при звичайній та підвищеній
температурах призводить до поступового руйнування бітумних складових, навіть
насичені розчини вапна здатні омилювати бітуми.
Бітумні матеріали
є стійкими до дії неокиснених органічних кислот, проте сильні окислювачі
руйнують їх. При отриманні антикорозійних «холодних» покриттів використовують
здатність бітумів у сполученні з іншими матеріалами (розчинниками) переходити у
рідкий стан не тільки при підвищених температурах і тиску, але й при нормальній
температурі під дією механічного навантаження.
В'язкість рідких бітумів
(ГОСТ 11955) визначають за допомогою стандартного віскозиметра за часом
витікання проби крізь отвори діаметром 5 або 10 мм при постійній температурі
(30 або 50°С). Для напівтвердих та твердих бітумів (ГОСТ 11501) ця
характеристика визначається з використанням приладу, який називається
пенетрометром (рис. 4).
Твердість
(в'язкість) оцінюють за глибиною занурення голки у спеціально підготовлений
зразок при Т=25°С або Т=0°С у градусах пенетрації (1 градус відповідає 0,1 мм).
Пластичність
в'язких бітумів пов'язана з їхньою розтяжністю (ГОСТ 11505), яка оцінюється за
видовженням зразків бітуму у вигляді «вісімки» стандартної форми й розмірів за
допомогою дуктилометра (рис. 5).

Рис. 4. Автоматичний пенетрометр для визначення в'язкості
бітуму:
1 - окуляр для
спостереження за відліками; 2 - автоматичний пристрій для заглиблення голки в
бітум; 3 - голка зі стрижнем; 4 - кристалізатор з водою; 5 - столик для
встановлення проб; 6 - підставка; 7 - ванночка з бітумом.

Рис. 5. Дуктилометр для визначення розтяжності бітуму:
1 - черв'ячний
гвинт; 2 - возик; 3 - електродвигун; 4 - латунна збірна форма; 5 – бітум.
Показником розтяжності
бітуму є значення деформації шийки зразка в момент розриву, виражене в
сантиметрах. Це випробування виконують при швидкості розтягування 5 см/хв і
температурах 25 та 0°С.
Температура
розм'якшення характеризує верхню температурну границю застосування
бітуму. Вона визначається (ГОСТ 11506) з використанням приладу «кільце та куля»
(«КіК») (рис. 6).
Прилад складається
з трьох металевих пластинок, які жорстко закріплені одна від одної на заданій
відстані. В середній пластині є отвори, в які вставляються латунні кільця з
пробами бітуму. При нагріванні бітум поступово розм'якшується і деформується.
Температура, при якій деформований бітум під дією маси кульки зіткнеться з
нижнім диском приладу, береться за температуру розм'якшення (рис. 7, б). Якщо
температура розм'якшення бітуму буде вища за 80°С, тоді прилад заповнюється не
водою, а гліцерином.
Температуру
спалаху бітумів (ГОСТ 4333) визначають для встановлення безпечного
технологічного режиму розплавлення їх та змішування з наповнювачами.

Рис. 6. Прилад «кільце та куля» для визначення
температури розм'якшення бітуму:
1 - латунні
кільця; 2 - бітум; 3 - сталева кулька; 4 - термометр; 5 - металеві пластини; 6
- термостійкий стакан; 7 – спиртівка.

Рис. 7. Положення кулі на приладі «кільце і куля»:
а - початкове; б –
кінцеве.
Для визначення
температури спалаху використовують стандартний прилад (рис. 8), який
складається з двох тиглів (внутрішнього та зовнішнього).

Рис. 8. Прилад для визначення температури спалаху бітуму:
1 − штатив;
2 − термометр; 3 − внутрішній тигель; 4 − зовнішній тигель; 5
− запальний пристрій; 6 − газовий пальник.
Розплавлений бітум
з очікуваною температурою спалаху до 210°С наливають у внутрішній тигель, щоб
рівень його був на 12 мм нижче краю тигля. Зовнішній тигель нагрівають полум'ям
газового пальника. Температуру, зафіксовану в момент появи синього полум'я над
поверхнею бітуму, вважають за температуру його спалаху.
Випробування
покрівельних та гідроізоляційних матеріалів передбачає
визначення таких показників, як зовнішній вигляд, лінійні розміри, міцність при
розтягу, відносне подовження, гнучкість, водопоглинання, водонепроникність,
теплостійкість та температура крихкості.
Рулонні матеріали
перед перевіркою повинні бути попередньо витримані не менше 10 годин при Т=20±5оС.
При оцінці
зовнішнього вигляду звертають увагу на маркування, пакування, рівномірність
розподілу посипки, наявність або відсутність злипання, дір, тріщин, розривів та
складок.
Випробування
міцності при розтягу бітумних та бітумно-полімерних матеріалів виконують з
використанням трьох зразків-стрічок розмірами 250x50 мм, вирізаних в
поздовжньому напрямку. Випробування проводять на розривній машині. Для
визначення умовної міцності і відносного подовження, фіксують силу і відстань
між захватами в момент розриву. При наявності в машині шкали деформації
фіксують також подовження зразка. Умовну міцність, Па, розраховують за
формулою:

де Рр - розривна сила, Н;
b - ширина зразка лопатки, м;
h0 - середнє значення товщини зразка-лопатки на
робочій ділянці, м.
Відносне
подовження (е) обчислюють за формулою:
![]()
де l1 — відстань між
встановленими мітками на початку випробування, мм;
l2 — відстань між
захватами у момент розриву, мм.
Гнучкість рулонного
матеріалу оцінюють за відсутністю (в окресленому інтервалі температур)
тріщиноутворення або розшарування при його згинанні. Цей показник визначають на
випробувальному брусі, виготовленому з деревини або пластмаси, який має з
однієї сторони закруглення радіусом К (рис. 9). Його величина визначається
нормативними документами на конкретну продукцію.

Рис. 9. Схема випробування для визначення гнучкості
Випробування
виконують на трьох зразках розмірами 150x20 мм, вирізаних у поздовжньому
напрямку. Гнучкість може бути визначена при позитивних, від'ємних температурах
та при Т=0°С.
Після витримування
зразків при відповідній температурі на протязі окресленого часу їх прикладають
до рівної поверхні бруса нижнім боком так, щоб до нього прилягало не менше 0,25
довжини зразка. Вільний кінець зразка вигинають протягом 5 с навкруги
закругленої частини бруса до досягнення іншої рівної поверхні (рис. 9).
Вважають, що
зразок витримав випробування, якщо на його лицьовому боці відсутні тріщини та
немає ознак розшарування.
Водопоглинання рулонних
матеріалів з пилоподібною посилкою визначають на трьох зразках, а з
крупнозернистою або лускоподібною - на шести розміром 100x100 мм. Для
матеріалів останнього типу готують здвоєні зразки, які склеюють між собою.
Підготовлені зразки зважують (m1), далі занурюють
на 1 хв у посудину з водою, після чого виймають, витирають фільтрувальним
папером протягом 30...60 с і зважують (m2).
Потім зразок ще
раз занурюють у воду і розміщують так, щоб шар води над ним був не менше 50 мм.
Час витримування зразків наведено у нормативних документах на конкретний вид
продукції. Водопоглинання (W) обчислюють за формулою:
![]()
де m1 - маса сухого
зразка, г;
т2 - маса зразка після витримування у воді 1 хв, г;
m3 - маса зразка після витримування у воді заданий час, г.
Водонепроникність визначається на
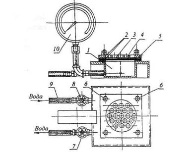
спеціальному приладі, схему якого зображено на рис. 10.

Рис. 10. Схема визначення водонепроникності рулонних матеріалів:
1 - робоча камера; 2 - гумові прокладки;
3 - зразок; 4 - контактна сітка; 5 - притискувальна плита; 6 - гвинти; 7,8 -
крани; 9 - гумова трубка для з'єднання з трубопроводом; 10 – манометр.
Випробування
проводять на трьох зразках розмірами 150x150 мм при тиску води 0,3 МПа. У
верхню частину робочої камери кладуть гумову прокладку, потім зразок посилкою
донизу, а далі - другу гумову прокладку. Зверху встановлюють контактну сітку,
закривають плитою і щільно притискують гвинтом. За допомогою спеціальної
системи встановлюють тиск, величина якого наведена у нормативних документах.
Вважають, що зразок витримав випробування, якщо на його внутрішній поверхні
відсутні ознаки просочення води.