Тема. Структура виробництва в сучасному
машинобудуванні
|
Практичне заняття № 2 РОЗРАХУНОК
ПРИВЕДЕНОЇ ПРОГРАМИ |
|
Мета роботи – набуття практичних навичок з розрахунків приведеної програми,
підбору розрахункових представників та деталей для проектування дільниці
механічної обробки.
Короткі теоретичні відомості
Проектування
виробничих підрозділів для умов
серійного виробництва виконують за приведеною програмою. На виробництві де виготовляється
значна номенклатура випуску деталей
великими обсягами реальну багатономенклатурну програму заміняють
приведеною, яка виражається обмеженою кількістю представників, еквівалентною за
трудомісткістю багатономенклатурній програмі.
З
цією метою всі деталі і складальні одиниці розбивають на групи за
конструкційними і технологічними ознаками. В кожній групі вибирають деталь чи
складальну одиницю-розрахунковий представник, для якого проводять розрахунки.
На представників розробляють технологічні процеси обробки чи складання і шляхом
технічного нормування визначають їх трудомісткість.
За деталь
представник вибирають, виріб для
якого характерний найбільший обсяг випуску і трудомісткість виготовлення.
В практиці проектування
будь-який об’єкт виробництва, який входить в групу, може бути приведений до
розрахункового представника з урахуванням різниці в масі, програмі випуску, складності обробки
і складання та інших параметрів. Приведена програма визначається
|
|
(2.1) |
де Ni – програма випуску кожного з найменувань
деталей, зібраних у групу, шт.; K iп.р –
коефіцієнт приведення для кожного з найменувань деталей, що зібрані у
групу; n – кількість найменувань
деталей, що зібрані в групу.
Загальний коефіцієнт
приведення для розглядуваної деталі (виробу)
|
|
(2.2) |
де К
1 – коефіцієнт приведення за
масою; К2 – коефіцієнт
приведення за серійністю; К3
– коефіцієнт приведення за складністю; Кn
– коефіцієнт приведення, який враховує інші особливості об’єкта, наприклад,
різницю в точності виробу і виробу-розрахункового представника
(верстатобудування), наявність поставок комплектуючих з кооперації окремих
вузлів та агрегатів і т. д.
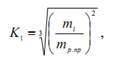
Коефіцієнт,
який враховує різницю в масі оброблюваних геометрично подібних деталей виробу
|
|
(2.4) |
де m
i , m р.пр – маси розглядуваної
деталі, деталі розрахункового представника, відповідно.
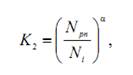
Коефіцієнт приведення за
серійністю К2 враховує зміни в трудомісткості обробки чи складання
при зміні програми випуску. Це обумовлено, наприклад, доцільністю використання більш досконалого пристрою, який скорочує час
встановлення деталі при обробці чи складанні, якщо програма випуску
збільшується. В практиці проектування цей коефіцієнт визначають за емпіричною
формулою
|
|
(2.5) |
де N pп
і Nі – програма
випуску відповідно деталі (виробу)-розрахункового представника і розглядуваної
деталі (виробу); a – показник степеня (a = 0,15
для об’єктів легкого і середнього машинобудування, a =
0,2 для об’єктів важкого машинобудування).
Коефіцієнт приведення за
складністю K3 враховує вплив технологічності конструкції на
верстатомісткість
обробки або трудомісткість складання. В загальному вигляді коефіцієнт
приведення за складністю можна записати у вигляді добутку коефіцієнтів, які
враховують зв’язки між конструкційними факторами і трудомісткістю виробів, для
яких визначається приведена програма
|
|
(2.6) |
де К31
, К32 … К3 n – коефіцієнти, які враховують різницю
відповідних технічних параметрів в розглядуваному виробі і
виробі-представникові; α1 ,
α2 , α
n – показники, які встановлюють ступінь впливу відповідних технічних
параметрів на трудомісткість обробки чи складання.
Так, наприклад, для
однорідних деталей групи найбільш суттєвими параметрами, які визначають
складність, а відповідно і трудомісткість виготовлення, будуть точність і
параметр шорсткості поверхні обробки. Ці параметри при кількісному оцінюванні
технологічності конструкції деталі враховують середнім квалітетом точності К Т і середнім значенням параметра шорсткості Rа
оброблюваних поверхонь. Для цього випадку
|
|
(2.7) |
де К 31
– коефіцієнт, що враховує різницю в точності оброблюваних поверхонь деталей; К32 – коефіцієнт, що враховує різницю в
шорсткості оброблюваних поверхонь деталей.
|
|
(2.8) |
|
|
(2.9) |
де K
Tі і K T.р.пр.
– середні значення квалітету точності поверхонь деталі, що розглядається і
деталі-розрахункового представника; Raі і Ra.р.пр
– середні значення параметра Ra шорсткості поверхонь деталі, що розглядається
і деталі-розрахункового представника;
|
|
(2.10) |
|
|
(2.11) |
де K
γ – γ -й квалітет; n n – кількість розглядуваних розмірів, що мають
певні квалітети; n γ –
кількість розмірів γ -го квалітету;
Rak
– значення Ra k -ї поверхні деталі, мкм; nr – кількість розглядуваних поверхонь, що мають
певну шорсткість; nk – кількість поверхонь, що мають значення R
a .
Для визначення значень
рекомендуються до використання дані,
що наведені в таблиці 2.1 [1].
Таблиця 2.1 –
Середній квалітет
степеня
αі

Значення
для обробки різанням визначають за даними, що наведені в
таблиці 2.2 [1].
Таблиця 2.2– Середня
степеня α2

Добуток всіх коефіцієнтів
приведення дає загальне значення коефіцієнта приведення для розглядуваної деталі,
складальної одиниці чи виробу. В результаті таких розрахунків замість фактичної
багатономенклатурної програми одержують еквівалентну їй за трудомісткістю
приведену програму, що виражається обмеженою кількістю виробів-розрахункових
представників. За цією програмою ведуть всі подальші розрахунки для
проектування дільниці механічної обробки.
Таблиця 2.3
|
Найменування виробу |
Річний випуск, шт. |
Маса одного виробу, кг |
Коефіцієнт приведення |
Приведена програма, шт |
|||
|
за масою |
за серійністю |
за складністю |
загальний |
||||
Порядок виконання роботи
1. Ознайомлення з алгоритмом
визначення приведеної програми.
2.
Визначення основних показників деталей KTі та Raі.
3. Розрахунок коефіцієнтів
приведення за масою, серійністю та складністю для типових деталей.
4. Розрахунок приведеного
коефіцієнта та приведеної програми.
5. Висновки.
Зміст звіту
1. Мета роботи.
2. Розрахунки та пояснення.
3. Зведена таблиця 2.3.
4. Висновки.