Тема. Структура виробництва в сучасному машинобудуванні

 

Практичне заняття № 1

Визначення трудомісткості обробки деталей вузла

 

         Мета роботи – набуття практичних навичок розрахунку трудомісткості обробки  деталей вузла.

 

Короткі теоретичні відомості

         Проектування підрозділу виробництва пов’язаного із складанням виробу передбачає знання об’єкту виробництва та  трудомісткості його виготовлення.

Насамперед розробляється технологічні процеси механічної обробки деталей, згідно завдання.  Проводиться нормування  і встановлюється праце ємність виготовлення кожної деталі.  Аналізується конструкція вузла і визначаються деталі, які оброблюються в даному цеху. Результати  оформляються у вигляді  таблиці  1.1. 

 

     Таблиця 1.1

№ деталі

Найменування деталі

Кількість деталей у вузлі

Кількість оброблювальних поверхонь у кожній деталі

Загальна кількість поверхонь

Трудомісткість

,хв

сполучаємі

несполучаємі

Циліндричні

зовнішні

Циліндричні внутрішні

плоскі

Шліцьові, зубчаті, різьбові

всього

Циліндричні

зовнішні

Циліндричні внутрішні

плоскі

всього

1

2

3

4

5

6

7

8

9

10

11

12

13

14

 

 

 

 

 

 

 

 

 

 

 

 

 

 

        

         Для колонок 1, 2 і 3 дані вибираються із завдання на проектування.  У колонках 4, 5, 6, 7, 8  записується кількість оброблених поверхонь кожної деталі, що сполучаються  посадками  Н,  h або  G,  q і  посадками із натягом.  Ці поверхні, як відомо, оброблюються  за 2 або 3 операції (чорнова, чистова обробка, а іноді і шліфування). У число таких поверхонь відносять також шліци і зубчаті колеса.  У колонках 9, 10, 11 та 12 указується кількість поверхонь, що  оброблюються, але не сполучаються та поверхонь, що сполучаються з великим зазором (зазор більше, ніж у посадки G, q).  У графах 13 і 14 вказується відповідно кількість та трудомісткість всіх деталей виробу. 

Умовна трудомісткість обробки однієї деталі визначається, за формулою, хв:

 ,

(1.1)

де Тшт  - трудомісткість механічної обробки 1-єї деталі, хв,

      n1 - кількість сполучених поверхонь за точними розмірами, шт.;

      n2- кількість оброблених поверхонь, які не сполучаються, або поверхонь, що сполучаються з великим зазором.

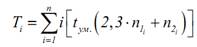
         Визначається приведена трудомісткість інших деталей вузла за формулою, хв:

 ,

(1.2)

де n1i, n2i -  кількість відповідних поверхонь  для  кожної деталі, шт.;

     i   - кількість цих деталей у вузлі;

    Ті - трудомісткість  i -ої деталі, що входить у вузол.

   Результати розрахунку проводять для кожної деталі, враховуючи їх кількість у вузлі і заносять в таблицю 1.1.

         Загальна трудомісткість механічної обробки вузла визначиться за формулою, хв:

 

(1.3)

Порядок виконання роботи

1.   Ознайомлення з алгоритмом визначення трудомісткості механічної обробки вузла.

2. Для заданої деталі визначити умовну трудомісткість обробки.

3. Визначити приведену трудомісткість інших деталей вузла.

4. Визначити загальну трудомісткість механічної обробки вузла.

5. Оформити таблицю 1.1.

6. Висновки.

Зміст звіту

1. Мета  роботи.

2. Розрахунки та пояснення.

3. Зведена таблиця 1.1.

4. Висновки.