ЛабораторнЕ Заняття №1
Тема: Оцінка похибок прямих та непрямих вимірювань.
Мета: Ознайомитись з основними оцінками похибок вимірювань
фізичних величин.
Обладнання: Амперметр, вольтметер, ватметр, провідники, джерело напруги.
Теоретичні
відомості
Похибки вимірювань класифікують за трьома основними класифікаційними
ознаками: за способом вираження, за характером зміни, за місцем виникнення.
Класифікація похибок вимірювань
наведена на рис. 1.

Рис. 1.
Класифікація похибок вимірювання
За способом вираження похибки поділяються на абсолютні
та відносні. Класична метрологія виходить з позиції, що результат вимірювання
завжди відрізняється від істинного значення вимірюваної величини. Тому під час
вимірювань фізичної величини (ФВ) виникає похибка, яка дорівнює різниці між
виміряним значенням X фізичної величини
та її істинним X1 значенням:
Фізична величина - властивість,
спільна в якісному відношенні для багатьох матеріальних об'єктів та
індивідуальна в кількісному відношенні для кожного з них;
Розмір (фізичної) величини - кількісний вміст
фізичної величини в даному об'єкті;
Значення (фізичної) величини - відображення
фізичної величини у вигляді числового значення величини із позначенням її
одиниці;
Істинне значення (фізичної
величини) - значення фізичної величини, яке ідеально відображало б
певну властивість об'єкта;
Абсолютна похибка
(вимірювання) - різниця між результатом вимірювання та умовно істинним
значенням вимірюваної величини: ∆х=хвиміряне – хдійсне (1)
Вдносна похибка - відношення абсолютної похибки вимірювання до умовно істинного значення
вимірюваної величини:
100%
(2)
Систематична
похибка (вимірювання [засобу вимірювальної техніки]) - складова похибки, що залишається сталою або прогнозовано змінюється у ряді
вимірювань тієї самої величини;
Інструментальна
похибка (вимірювання) - складова похибки вимірювання,
зумовлена властивостями засобів вимірювальної техніки;
Точність
вимірювання - головна характеристика якості вимірювання, що відображає
близькість результату вимірювання до істинного значення вимірюваної величини;
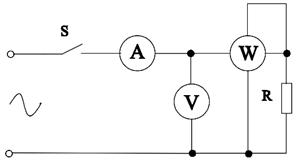
Хід роботи
Скласти схему лабораторного макета. Ввімкнути живлення після перевірки
схеми викладачем.

Рис. 1.
Схема лабораторного макета
Дослідження
систематичної похибки:
1. Встановити прилади строго горизонтально і
ретельно встановити механічний нуль, провести вимірювання ЦГ, І, Р;
2. Примусово ввести систематичну похибку в
показання амперметра, вольтметра, ватметра. Для цього встановити прилади не
горизонтально (під нахилом), змістити механічний нуль приладів. Провести
вимірювання Щ,Р;
3. Провести серію вимірювань, щоб переконатись у
наявності систематичної похибки цих приладів.
4. Визначити відносну систематичну
похибку. За дійсне значення вимірюваної величини прийняти результати
вимірювання, отримані при вимірюванні приладами, встановленими горизонтально з
точно встановленим механічним нулем. Результати записати до таблиці 1.
Таблиця 1

Дослідження
випадкової похибки:
1. Вилучити систематичну похибку, для чого
встановити прилади строго горизонтально та ретельно встановити на всіх приладах
стрілку на нуль при виключеному живленні.
2. Виконати серію з 10 вимірювань U, I, та Р а результати занести до табл. 1. Для того, щоб дослідити випадкову
похибку, необхідно під час проведення серії вимірювань змінювати взаємне
розташування вимірювальних приладів, з'єднувальних проводів, кут зору на
стрілкові індикатори приладів.
Контрольні питання
1. Дайте
визначення поняттю абсолютної
похибки вимірювання.
2. Що
собою представляє дійсне значения фізичної величини?
3. Які Ви
знаете шляхи експериментального
визначення дійсного значения фізичноі величини?
4. Що собою являє поправка на вимірювання?
5. Дайте
визначення поняттю відносної
похибки.
6. Дайте
визначення поняттю точності вимірювань.
7. Наведіть класифікацію
похибок вимірювань за характером зміни в часі.
8. Наведіть класифікацію
похибок вимірювань за причиною виникнення.
9. Наведіть класифікацію
похибок вимірювань за місцем виникнення.
10. Наведіть класифікацію
похибок вимірювань за способом вираження та характером зміни.
11. Дайте
визначення поняттю систематичної складової
похибки вимїрювань.
12. Дайте
визначення поняттю випадкової складової
похибки вимірюваиь.
13. Що
собою представляе інструментальна
похибка та які Ви знаете складові цієї похибки?
14. Яку
складову похибки вимірювань
називають методичною?
15. Що
собою представляє суб'єкгивна похибка?
16. Яку
складову систематичної
похибки називають постійною?
17. Які систематичні похибки називають прогресивними?
18. Що являє собою адитивна та мультиплікативна похибка?