Практичне заняття №9
Тема роботи: Вимірювання
температури.
Мета роботи: Ознайомитись з
методами вимірювання температури та навчитись визначати похибки приладів для вимірювання температури.
Теоретичні відомості
Відповідно
до системи CI для вимірювапня температури використовується
абсолютна термодинамічна шкала Кельвіна. Градуси температури по цій шкалі
вираховуються від абсолютного нуля, що нижче точки танення льоду на 273,16 К.
Поряд з
цим прийнята міжнародна температурна шкала, в основу якої покладена шкала
Цельсія.
Більшість сучасних
термометрів мають шкалу в градусах Цельсія, але в технічних розрахунках частіше
застосовуються градуси Кельвіна. Значення температури Т в градусах Кельвіна на 273,16
більше від її значень t у градусах Цельсія: Т =
t + 273,16 (в
інженерних розрахунках інколи приймають 0 °С за 273 К).
Вимірювання
температури може здійснюватися різними методами. Кожний метод має свої
особливості, які визначаються як принципом, так і застосованими засобами та
схемами їхнього підключення. Крім того, при вимірюванні температури потрібно
враховувати взаємодію термоперетворювачів із вимірюваним середовищем.
Контактні
термоперетворювачі перебувають у безпосередньому контакті з середовищем,
температуру якого вони вимірюють. Здебільшого власна температура контактного
термоперетворювача (або його частини) навіть в статичному режимі відрізняється
від температури вимірюваного середовища. Ця відмінність визначається
особливостями теплообміну між термоперетворювачем і вимірюваним середовищем,
конструктивними і тепло-фізичними характеристиками самого термоперетворювача й
окремих частин його арматури, а також умовами теплообміну термоперетворювача з
навколишнім середовищем.
Промислові термометри
поділяються на три великі групи: термометри розширення, термоелектричні
перетворювачі і термоперетворювачі опору.
Термометри
розширення використовують здатність рідин і
газів змінювати свій об'єм, а твердих тіл - лінійні розміри при зміні
температури. Термометри розширення бувають рідинні, дилатометричні та манометричні.
Рідинний термометр
розширення складається з резервуара, заповненого робочою рідиною (ртуть,
спирт, гас тощо), капілярної трубки і шкали, що наноситься на скло або
вкладається в скляну трубку. Об’єм рідини міняється в залежності від
температури.
.
де V та V0
– об’єми рідини при температурі Т та Т0;
– коефіцієнт об’ємного розширення 1/К.
Показання рідинних
термометрів розширення визначаються не тільки температурою вимірюваного
середовища Т, але й температурою тієї частини стовпчика робочої рідини в капілярній трубці, яка виступає над рівнем
вимірюваної рідини й перебуває в контакті з навколишнім середовищем. Поправку
на виступаючий стовпчик
підраховують за
формулою:
,
де Твс
– температура
виступного стовпчика,
С;
– число градусів у
виступному стовпчику.
Дилатометричний термометр
розширення (рис. 1, а) діє на
основі вико-ристання теплового лінійного розширення твердих тіл (стержнів,
пластинок, спіралей):
.
де l і l0 – лінійні розміри
термометра при температурах Т і Т0,
м;
– коефіцієнт об’ємного розширення 1/К.

Рис. 1. Термометри
розширення:
а – дилатометричні: 1– термочутливий корпус; 2 – стержень;
3 – важіль; 4 – стрілка; 5 – шкала.
б – манометричні: 1 – термобалон; 2 – дистанційний капіляр; 3 – важіль;
4 – сектор с черв'яком; 5 – трубка с шестернею; 6 – пружний манометричний елемент; 7
– шкала; 8 – стрілка; 9 – кулачок
Переміщення стержня з
великим коефіцієнтом лінійного розширення передається через кінематичну
передачу до стрілки відлікового пристрою. Відносне переміщення стрілки 4,
викликане зміною температури, знаходиться за формулою:
,
де k – відношення плеч
важеля 3; l0 – початкова довжина
стержня, м;
– зміна температури, °С.
Манометричний
термометр складається з чутливого елемента-термобалона, зануреного у вимірюване
середовище, капілярної трубки і вимірювача тиску (рис. 1, б). Всі елементи з'єднані
герметично, внаслідок чого внутрішня порожнина термометра являє собою
заповнений газом, рідиною замкнутий простір, який називають термосистемою. При
нагріванні термобалона в системі створюється тиск, який викликає переміщення
елементів механізму покажчика.
У газових
манометричних термометрах термобалон заповнений азотом, аргоном або гелієм, і
залежність тиску від температури визначається виразом:
,
де р і р0
– тиск газу (або рідини) при температурах Т і Т0, Па; для газів коефіцієнт
об'ємного розширення
.
Для зниження впливу
атмосферного тиску на показання приладу в термосистемі створюється початковий
тиск 1...3 МПа.
У рідинних манометричних термометрах
термобалон заповнюють ртуттю під початковим тиском 10-15 МПА або іншою
термометричною рідиною (толуол, пропановий спирт, силіконові рідини тощо) під
тиском 0,5-5 МПа.
Як газові так і
рідинні манометричні термометри мають лінійну шкалу, але в рідинних теплова
інерційність нижче. Недолік усіх розглянутих термометрів розширення – складність перетворення
температури в електричний сигнал. Тому в автоматичних системах частіше
застосовуються термоелектричні перетворювачі і термоперетворювачі опору.
Завданння
Задача 1. Визначте зміну показань
манометричного газового термометра, спричинену збільшенням температури капіляру
на 40 і температури пружини на 10 °С відносно градуювального значення 20 °С за
наступних умов: об'єм капіляра Vк = 1,9 см3, об'єм
манометричної пружини Vп = 1,5 см3, об'єм
термобалона V6= 140 см3.
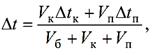
Приклад розв 'язання
задачі 1
Зміна показань
манометричного термометра буде визначатися відносною зміною тиску в
термосистемі, зумовленою розширенням газу в капілярі і пружині. Зважаючи на
закон Шарля, згідно якому
, зміну показань можна підрахувати за формулою:

де
і
– відповідно відхилення температури
капіляра і пружини від градуювальної.
Таким чином,
отримаємо:
![]()
Цей наближений розрахунок не враховує розширення капіляра і пружини,
тому дійсна зміна показань буде дещо меншою.
Задача 2. Визначте, який початковий тиск
повинен бути створений в системі манометричного газового термометра при 0 °С, щоб
при зміні температури від 0 до 500 °С тиск в системі змінився на 10 МПа.
Термічний коефіцієнт розширення газу р = 0,00366
.
Приклад розв'язання
задачі 2:
Зміна тиску в
термосистемі відбувається за законом:
,
де
– термічний коефіцієнт
розширення газу; tо і t – відповідно початкова і поточна
температури; pо – тиск робочої речовини при температурі tо.
Отже, зміна тиску
рівна:
.
Звідси визначаємо
початковий тиск:
МПа.
Таблиця
1
Вихідні дані до задачі 1

Таблиця
2
Вихідні
дані до задачі 2

Контрольні запитання
1. В яких одиницях вимірюється температура, яка між ним розмірність?
2. Які Ви знаєте прилади для вимірювання температури?
3. Яка різниця між барометрами, вакууметрами та манометрами?
4. Що являють собою рідинні прилади для вимірювання температури?
5. Що являють манометричні температуроміри?
6. Що являють собою дилатометричні температуроміри?
7. Які переваги та недоліки термометрів розширення?