Лабораторна робота №4
Тема. Дослідження перетворень структурних схем.
Мета: ознайомитись з правилами структурних
перетворень САК
Для наочного зображення
складної системи як сукупності елементів та зв'язків між ними використовуються структурні схеми. Структурна схема САК є графічним
представленням системи, яке
показує з'єднання передавальних функцій різних ланок. За своєю суттю, вона є умовним графічним відображенням системи диференціальних рівнянь, що описують
динаміку елементів САК і всієї системи загалом.
Структурна схема відображає структуру автоматичної системи, вказує наявність зовнішніх впливів та точки їхнього застосування, шляхи передачі дій та кінцеві результати. Динамічна або статична ланка зображується прямокутником, в якому наводиться передавальна функція або математичний
вираз цієї ланки. Дії на систему та взаємодії ланок
(сигнали) зображуються стрілками. У кожній ланці сигнал передається тільки від входу до виходу. Вхідна величина може впливати лише
на одну динамічну ланку, тому для підсумовування
і порівняння сигналів використовуються спеціальні
блоки. Сигнали однієї й тієї ж фізичної природи можуть бути підсумовані або порівняні. При побудові структурної схеми зручно починати з зображення задавальної дії, розміщуючи динамічні ланки, що утворюють пряме коло системи, зліва направо до регульованої величини. Основний і місцеві зворотні зв'язки будуть спрямовані справа наліво. Різні методи
перетворення структурних
схем допомагають полегшити визначення передавальних функцій складних САК і дозволяють звести багатоконтурні системи до еквівалентних одноконтурних схем.
Еквівалентні перетворення структурних схем забезпечують отримання одноконтурної схеми та її передавальної
функції. Під еквівалентністю перетворень розуміється тотожність динамічних властивостей системи до і після перетворення структурної схеми. Перетворення структурних схем має проводитися відповідно до встановлених правил, які можна знайти в довідковій літературі. Основні з них наведені в таблиці.1
Таблиця 1 – Правила
структурних перетворень

При виконанні перетворень треба кожне наявне в схемі типове
з'єднання замінити еквівалентною ланкою. Потім можна виконати перенос точок
розгалуження й суматорів, щоб у перетвореній схемі утворилися нові типові
з'єднання ланок. Ці з'єднання знову заміняються еквівалентними ланками, потім
знову може знадобитися перенос точок розгалуження й суматорів і т.д. Приклад. Нехай необхідно одержати еквівалентне
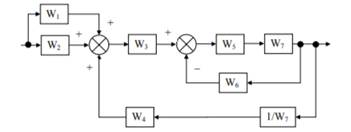
представлення для структури, наведеної на рис. 1.1.

Рисунок 1
– Структурна схема САР
Послідовність
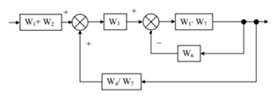
перетворення структурної схеми, що зображена на рисунку 1 подана в таблиці 2.
Таблиця 2
– Послідовність спрощення САР
|
Етапи |
Схема |
|
1 |
|
|
2 |
|
|
3 |
|
|
4 |
|
|
5 |
|
|
6 |
|
|
7 |
|
Завдання для виконання
Перетворити структурну схему САР згідно варіанту. Зобразити всі
етапи перетворення вихідної схеми і проміжних результатів, до й після
перетворення.
Варіант 1

Варіант 2

Варіант 3

Варіант 4

Варіант 5

Варіант 6

Варіант 7

Варіант 8

Варіант 9

Варіант 10

Варіант 11

Варіант 12

Варіант 13

Варіант 14
