Тема: Статистика
кредиту.
План практичного заняття
1. Поняття кредиту і завдання його статистичного
вивчення.
2. Статистичне вивчення обсягу, складу й динаміки
кредитних вкладень і кредитних ресурсів.
3. Показники обіговості кредиту й методи їх аналізу.
4. Статистичне вивчення зв’язку обіговості
короткострокового кредиту з сукупною обіговістю оборотних коштів.
5. Джерела статистичних даних про кредит.
Термінологічний словник ключових понять
Банківський кредит надається банками в грошовій
формі підприємствам, населенню і державі. Кредитні відносини між банками і
клієнтами виникають не тільки при одержанні останніми позички, але й при розміщенні
ними своїх заощаджень у вигляді внесків на поточних і депозитних рахунках.
Державний кредит — це кредит, за якого
позичальником або кредитором виступає держава чи місцеві органи влади, а кредит
набуває вигляду випуску позик, які реалізуються, в основному, через
фінансовокредитні установи. Державний кредит використовується для покриття частки
державних видатків, а також для регулювання економіки.
Комерційний кредит надається одним підприємством
іншому у вигляді продажу товарів з відстрочкою платежу. Він має товарну форму.
Комерційний кредит оформлюється
векселем.
Кредит — економічні відносини, що виникають
між кредитором і позичальником з приводу одержання останнім позички в грошовій
або товарній формі на умовах повернення в певний строк і, звичайно, із сплатою
відсотків. Існує три форми кредиту: комерційний, банківський і державний.
Позичковий фонд держави — це кошти банків, тимчасово
вільні грошові кошти бюджетних організацій, народного господарства, населення,
страхових організацій та ресурси від зовнішньоекономічної діяльності.
Розв’язок типових задач
Наведемо приклад розрахунку індексів
середніх величин середньої тривалості користування короткостроковим кредитом.
Короткострокове кредитування банками галузей промисловості,
млн. грн.

Розрахуємо показники тривалості
користування короткостроковим кредитом і однодобового обороту з погашення по
кожній галузі промисловості, наведені в таблиці нижче:
Розрахунок тривалості користування кредитом і однодобового
обороту з погашення

Індекс середньої тривалості
користування кредитом змінного складу:

Абсолютний приріст середньої тривалості
користування короткостроковим кредитом:

Тобто середня тривалість користування короткостроковим кредитом
по двох галузях промисловості в звітному періоді порівняно з базисним
зменшилась на 1,7 %, або 1,71 дня. Можна дійти висновку, що ефективність
використання кредитом збільшилась.
Індекс середньої тривалості користування кредитом фіксованого
складу:

Абсолютний приріст середньої тривалості користування кредитом
за рахунок зміни тривалості в окремих галузях:

Тобто середня тривалість користування
короткостроковим кредитом по двох галузях промисловості у звітному періоді
порівняно з базисним збільшилась на 0,07 %, або 0,07 дня, за рахунок зміни
тривалості користування короткостроковим кредитом по окремих галузях
промисловості.
Індекс структурних зрушень:

Абсолютний
приріст середньої тривалості користування кредитом внаслідок структурних
зрушень в однодобовому обороті з погашення становить:

Таким чином, середня тривалість користування короткостроковим
кредитом по двох галузях промисловості у звітному періоді порівняно з базисним
зменшилась на 1,8 %, або 1,78 дня, за рахунок структурних зрушень, тобто в
однодобовому обороті збільшилась частка галузі, яка мала в базисному періоді
меншу тривалість користування короткостроковим кредитом.
Навчальні задачі
Завдання 1. Маємо такі дані
з кредиту, млн грн:

Визначити, як змінилась середня тривалість
користування кредитом у двох галузях.
Завдання 2. За даними завдання 1
визначити, на скільки днів змінилась середня тривалість користування кредитом
за рахунок зміни структури в однодобовому обороті.
Завдання 3. Маємо
такі дані з кредиту, млн грн

Визначити, на
скільки днів змінилась середня тривалість користування кредитом.
Завдання 4. Маємо
такі дані з кредиту, млн грн:

Визначити яким чином змінилась середня
тривалість користування кредитом за рахунок зміни структури в однодобовому обороті.
Завдання 5. За даними задачі 4
визначити, на скільки днів змінилась середня тривалість користування кредитом
за рахунок зміни тривалості користування кредитом в окремих галузях.
Завдання 6. Маємо
такі дані з кредиту, млн грн:

Визначити, яким чином змінилась середня
тривалість користування кредитом за рахунок зміни тривалості користування
кредитом в окремих галузях.
Завдання 7. Визначити тривалість
користування короткостроковим кредитом, якщо сума погашеного кредиту за рік
становить 100 тис. грн, а залишки кредитних ресурсів на рахунках дорівнювали:
на 01.01 — 50 тис. грн; 01.04 — 80 тис. грн; 01.07 — 90 тис. грн; 01.10 — 120
тис. грн; 01.01 — 20 тис. грн.
Завдання 8. За даними завдання 7
визначити кількість оборотів кредиту.
Завдання 9. Середні залишки кредиту в
поточному році збільшились на 5 %, оборот кредиту з погашення становить 200
тис. грн, що на 50 тис. грн більше, ніж у попередньому році.
Визначити, на скільки відсотків змінилася
кількість оборотів кредиту.
Завдання 10. Маємо
такі дані:

Визначити індекси середніх величин тривалості
користування кредитом.
Завдання 11. За даними у таблиці
визначити індекси середніх величин кількості оборотів:

Завдання 12. Маємо такі дані:

Визначити загальні індекси обороту кредиту з
погашення, кількість оборотів кредиту, середніх залишків кредиту.
Завдання 13. Маємо
такі дані, тис. грн:

Визначити, на скільки днів змінилася середня тривалість
користування кредитом за рахунок зміни структури в однодобовому обороті.
Запитання для перевірки знань
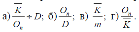
1. Яка з викладених нижче формул характеризує середню кількість
днів користування кредитом:

2. Які показники застосовуються в
статистиці для аналізу ефективності використання коштів:
1) коефіцієнт співвідношення обороту
позички з видачі і погашення;
2) кількість оборотів кредиту і
тривалість користування короткостроковим кредитом;
3) індекси середніх величин
тривалості користування короткостроковим кредитом;
4) обороти кредиту з видачі і
погашення.
3. Яка з викладених нижче формул
характеризує середню кількість оборотів, здійснених короткостроковим кредитом:

4. Що ви розумієте під кредитними ресурсами:
а) кошти банків, тимчасово вільні грошові кошти бюджету, підприємств
і населення;
б) позички, які видаються банківськими установами
підприємствам, організаціям і населенню;
в) споживчі кредити населенню для індивідуального житлового
будівництва;
г) залишки коштів на рахунках в ощадних банках і комерційних установах?