Тема 4: ЗАГАЛЬНА ХАРАКТЕРИСТИКА БАЛОК І БАЛКОВИХ
КЛІТОК
Лекція 10.
10.1. Перевірка міцності, загальної стійкості і прогинів
балок
10.3.
Конструкція, робота та розрахунок опорних частин балок
10.1. Перевірка
міцності, загальної стійкості і прогинів балок
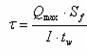
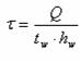
Перевірка
міцності за дотичними напруженнями. Дотичні напруження обчислюються у
перерізі з максимальною поперечною силою Qmax
– на опорі. Опирання головної балки на колону здійснюється за допомогою
торцевого опорного ребра і поперечна сила у цьому випадку сприймається тільки
стінкою.
Дотичні
напруження у небезпечному перерізі перевіряємо за формулою:
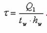
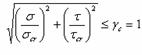
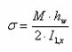
Перевірка
міцності стінки за приведеними напруженнями.
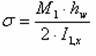
У небезпечному
перерізі – місці зміни ширини поясних листів – діють згинальний момент М1 і поперечна сила Q1.
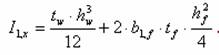
Момент
інерції зміненого перерізу балки:
.
Середнє дотичне напруження:

Нормальні
напруження на рівні поясних швів балки:
.
Умова
міцності перерізу балки за приведеними напруженнями:
![]()
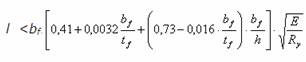
Факторами, що можуть спричинити втрату стійкості, є
інтенсивні стискальні та зсувні напруження. Наявність розтягу підвищує
стійкість елемента навіть при випадкових несприятливих діях. Таким чином, у
перерізі балки можуть втрачати стійкість стиснені поличка та стінка.
Загальна
стійкість балки. Згідно з пунктом 5.16* [3],
загальна стійкість балки буде забезпечена, якщо за поверхового сполучення балок
виконується умова:

де
l – крок балок настилу.
За
сполучення балок на одному рівні на всі балки зверху безперервно опирається
жорсткий металевий настил, а тому, згідно з пунктом 5.16*, головна
балка явно стійка і не потребує перевірки.
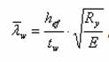
Місцева
стійкість елементів балки.
Стиснутий пояс є стійким, оскільки розміри
його перерізу прийняті з урахуванням умови стійкості.
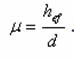
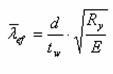
Стійкість стінки оцінюється за значенням умовної
гнучкості:
,
де ![]()
Згідно з пунктом 7.10 [3], якщо значення умовної
гнучкості
>
3,2 у випадку не рухомого навантаження, то стінку балки необхідно укріплювати
поперечними ребрами жорсткості, розміщеними у місцях прикладення зосереджених
навантажень, а якщо це необхідно, то і між ними. Відстань між поперечними
ребрами при
>
3,2 приймається ≤ 2 hef.
Якщо
<
3,2, то поперечні ребра відіграють лише конструктивну функцію і крок між ними
приймається ≤ 2,5 hef.
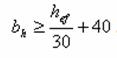
Ширина кожного з парних симетричних ребер визначається за
формулою:
.
Ширина несиметричних односторонніх ребер повинна
становити:
.
Товщина ребра
.

Перевірка стійкості стінки. Якщо
>
3,5, то необхідно перевіряти стійкість стінки, укріпленої поперечними ребрами
жорсткості. У випадку, коли
≤ 3,5,
перевіряти стійкість стінки, укріпленої поперечними ребрами жорсткості не
потрібно.
Стійкість стінки
необхідно перевірити у трьох відсіках (ділянках стінки, розділених ребрами
жорсткості) поблизу опори, всередині прольоту балки та на ділянці, у межах якої
розташовується місце зміни перерізу.
Стискаюче нормальне напруження у стінці на рівні поясних
швів визначають за формулою:
.
Середнє дотичне напруження:
.
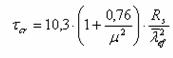
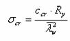
Обчислюємо критичні нормальні
та дотичні
напруження:
-
нормальні
,
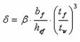
де ccr – коефіцієнт, який приймається за табл.21 [3] залежно
від значення δ, а коефіцієнт δ обчислюється за формулою
,
де β =
∞ - за сполучення балок на одному рівні і β = 0,8 – за поверхового сполучення балок.
Із двох розмірів стінки розрахункового відсіку а і hef меншу сторону
позначимо d.
Відношення більшої сторони стінки відсіку до меншої
.
Умовна гнучкість стінки:
.
Дотичні напруження:
.
Перевіряємо стійкість стінки:
Перевірка прогину балки.

де α = 0,9 – коефіцієнт, який враховує зменшення жорсткості балки за рахунок зменшення (зміни) перерізу.
10.2. Поясні
шви та стики балок, їх розрахунок. Спряження балок – конструктивні вирішення,
робота та розрахунок
При згинові балки полички
зсуваються відносно стінки. Для забезпечення роботи поличок і стінки як єдиного
перерізу необхідно надійно їх з’єднати. Розглянемо з’єднання за допомогою
електродугового зварювання.
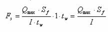
У суцільному перерізі найбільші
дотичні (зсувні) напруження між стінкою і поличкою описують за відомою формулою
Журавського:

де
Sf — статичний момент полички відносно центральної осі
перерізу балки.
У складеному перерізі зсувні
зусилля на контакті між стінкою і поличкою
![]()
де А — площа контакту.
Переходячи до погонних зсувних
зусиль, що припадають на одиницю довжини, тобто при
А = 1 ‧ tw, отримуємо

Потрібний катет шва (враховуючи
lw = 1):
- за наплавленим металом
,
-
за межею
сплавлення
.
Визначаючи катет шва, необхідно
врахувати його найменші значення з умови зварюваності.
Поличкові шви виконують неперервними односторонніми чи
двосторонніми. Односторонні шви дають змогу суттєво зменшити трудомісткість
виготовлення балок, витрату зварювальних матеріалів. Але при цьому повинні
виконуватися такі основні умови:
-
за характером навантаження має бути статичним і
прикладеним симетрично;
-
стійкість балки має забезпечуватись жорстким
настилом, який неперервно спирається на верхній пояс балки і надійно з ним зв’язаний;
-
не допускається розвиток пластичних деформацій;
-
у місцях прикладення зосереджених навантажень
доцільно встановлювати поперечні ребра жорсткості.
У балках і ригелях рамних конструкцій біля опорних
вузлів використовують двосторонні поясні шви. Не можна використовувати
односторонні шви у конструкціях, які експлуатуються в середньо- чи
сильноагресивному середовищах, оскільки у відкритій щілині між поличкою та
стінкою спостерігається інтенсивна корозія.
Переривчасте точкове або пунктирне зварювання
використовують при з’єднанні гнутих профілів (див. рис. 8.2, д). У цьому випадку зсувне зусилля Fs, що припадає на один зварний шов,
, (де Sі — статичний момент частини перерізу, що може зсуватися; а
— крок зварних швів), не повинно перевищувати
його несучої здатності.
10.3. Конструкція,
робота та розрахунок опорних частин балок
Для передачі значних опорних реакцій на
конструкції, розміщені нижче (наприклад, колони), в балках влаштовують опорні
ребра. У будівельній практиці найширше використовують два конструктивних
рішення: опорні ребра безпосередньо на кінцях балки (рис. 10.2, а) та віддалені від кінців (рис. 10.2, б). Опорна реакція передається
через торці ребер. їх старанно вирівнюють (найчастіше фрезерують), щоб
забезпечити щільне прилягання по всій поверхні контакту з опорою.
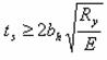
Переріз опорних ребер вибирають згідно з умовами
міцності та стійкості. Ширину опорного ребра
b приймають рівною ширині поличок. При розмірі d ≤ l,5ts для першої конструкції опорного ребра (рис. 10.2,
а), а також для другої конструкції (рис. 10.2, б) напруження на контактній
поверхні не повинні перевищувати міцності металу на зминання Rp:
,
де
F ‒ опорна реакція балки; b і ts — ширина і товщина контактної поверхні опорного
ребра. Якщо ж у першій конструкції випуск опорного ребра
d перевищує l,5‧ts, враховуючи можливу втрату
стійкості випуску ребра при пластичних деформаціях, перевірка міцності
виглядатиме так:
![]()
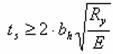
З метою збереження плоскої форми опорного ребра
(тобто забезпечення його місцевої стійкості) дотримуються умови:
.

Перевіряють також загальну стійкість опорного ребра
на поздовжній згин у площині, перпендикулярній площині стінки балки. Перевірку
виконують як для центрово-стисненого стержня, завантаженого опорною реакцією:
.
У розрахункову площу
Aef включають переріз опорного ребра
та стійку частину стінки шириною до
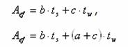
. Таким чином, згідно рис. 10.2 (перерізи 1-1, 2-2), площу опорного стояка можна записати відповідно для
першого і другого варіантів:

де
— фактичний розмір за рис. 10.2, але не більше с. Розрахункову довжину опорного стояка
приймають рівною висоті стінки.
Шви кріплення опорних ребер до стінки розраховують
як кутові флангові на дію опорної реакції балки. При цьому слід пам’ятати про
обмеження на розрахункову довжину таких швів.