Ціль: Вивчити існуючі колективні засоби захисту населення і
сил Цивільного захисту. Опанувати методику розрахунку об'ємного планування
сховищ.
Згідно
варіанту виконати розрахунок основних характеристик сховища з двоярусними
нарами і систем його життєзабезпечення при наявності фільтрів-поглиначів на загальну кількість людей N _ чоловік.
Визначити:
1.
Місткість сховища N (за нормативом площі), м2/чол.
2. Площу основних і
допоміжних приміщень, м2.
3. Загальну площу
сховища Sз=S0+SД, м2 .
4. Необхідні режими
повітропостачання.
5. Необхідну кількість
фільтрів-поглиначів.
6. Час заповнення
сховища.
7.
На основі отриманих розрахунків дати загальний висновок у вигляді таблиці.
Порядок
розв'язку
1. Визначення площі основних (S0)
і допоміжних (SД) приміщень сховища.
S0 = S1
x N м2,
де S1
– норматив площі основного приміщення сховища на 1-го чол.
(0,5 м2/чол);
N – кількість людей у сховищі (чол.)
SД = Sдоп/чол x
N м2.
Площа допоміжних
приміщень приймається згідно з даними табл. 7.2
Таблиця 7.2
Допоміжна площа сховищ (Sдоп/чол)
м2/чол
|
Характеристика
внутрішнього устаткування сховищ |
Площа (Sдоп/чол),м2/чол при місткості сховищ, чол. |
|||
|
до 450 |
600 |
900 |
1200 і більше |
|
|
1. Без автономних
систем електро- і водопостачання. |
0,12 |
- |
- |
- |
|
2. При наявності
дизельної електростанції без автономного джерела водопостачання |
0,13 0,16 |
0,13 0,16 |
0,12 0,15 |
0,11 0,13 |
|
3. При наявності
дизельної електростанції, автономного джерела водопостачання та
кондиціонування повітря |
0,34 0,4 |
0,3 0,35 |
0,25 0,3 |
0,25 0,3 |
Примітка:
перша цифра дані для сховищ, що мають два режими вентиляції, а друга – три.
2. Визначення об'єму основних (W0), допоміжних приміщень (WД) і загального об'єму сховища Wзаг ,м3:
- об'єм основних приміщень
W0 = W1
x N м3;
де W1
≥ 1.5 м3/чол – об'єм основних
приміщень сховища на 1-го чол.
- об'єм допоміжних приміщень WД = W доп/чол x N м3;
де W доп/чол = Sдоп/чол x
Н м3;
- загальний
об'єм сховища Wзаг = W0 + WД м3;
3. Обчислення підпору повітря у сховищі.
Знаючи
продуктивність ФВА і об'єм внутрішніх приміщень, кратність повітрообміну
визначають за формулою:
Обчислення
кратності повітрообміну за формулою K = Q
/ W,
де Q =
Q1(2) x N -
кількість повітря, яке подається у сховище, мЗ/год;
Q1(2) –
норма повітря на людину при різних режимах вентиляції сховищ (табл. 4)
W-
об'єм сховища, м3.
Для режиму I: К1 = Q1
x N / Wзаг
Підпір
повітря для режиму I:
Dp1 = 10
х К1 1,6 >
Для
режиму II: К2 = QІІ x N / Wзаг .
Підпір
повітря для режиму II:
Dp2 = 10
х К21,6 >
Під час перебування людей
в сховищі необхідно підтримувати
підпір 5-
Таблиця 7.3.
Залежність величини
підпору від кратності повітрообміну
|
Кратність |
0,5 |
0,6 |
0,8 |
0,7 |
1,2 |
1,4 |
|
Потрібний підпір,
мм вод. ст. |
5 |
6 |
8 |
12 |
15 |
18 |
4.
Визначення необхідної кількості (n) фільтрів-поглиначів:
n
= Vнеобх. / VФП (шт),
де Vнеобх. – загальний об'єм повітря,
що подається у сховище для ІІ – режиму вентиляції:
Vнеобх. = QІІ x N (м3),
(QІІ – табл. 4)
VФП – пропускна здатність одного фільтра –
поглинача (табл. 1).
Таблиця 7.4
Режими вентиляції сховищ
|
№ режиму |
Найменування режиму |
Призначення режиму |
Основне обладнання |
Кількість повітря, що подається на одну
людину, Q1(ІІ) ,м3/год |
Час безпе-рервної
роботи облад-нання, год |
|
І |
Чистої вентиляції |
Підтримання
параметрів мікроклімату в сховищі та очищення повітря від пилу (в т.ч. від радіоактивного) |
Електровен-тилятор
та протигаз пилові фільтри |
8-13 |
48 |
|
ІІ |
Фільтровентиляції |
Те
саме, плюс очищення повітря від бойових токсичних хімічних речовин та
бактеріальних аерозолів |
Те
саме, плюс фільтри-поглиначі |
2 5 |
12 |
|
ІІІ |
Регенерації |
регенерація
внутрішнього повітря в сховищі по замкнутому циклу |
РП-100 РУ-15
0/6. |
Подача
О2 - 25 л/год і поглинання СО2 -20 л/год на одну
людину. |
48 |
Примітки:
Кількість
повітря, що подається в І режимі, залежить від кліматичної зони, в якій
збудоване сховище, і приймається рівним для І зони – 8, ІІ – 10, ІІІ – 12, ІV –
13 м3/год на одного чоловіка.
Для очищення
повітря від пилу застосовуються протипилові фільтри ПФП-1000 або масляні
фільтри (ФЯР), з пропускною здатністю 1000 і 500 м3/год повітря
відповідно.
У знаменнику
для ІІ режиму 5 м3/год
на одного працюючого в приміщенні пункту управління.
Для очищення
від бойових токсичних хімічних речовин застосовуються фільтри-поглиначі марки
ФП-300 і ФПУ-200 з пропускною спроможністю 300 і 100 м3/год
відповідно.
Визначення
часу t (год.) перебування людей в
захисній споруді до
гранично допустимого значення Ссо2 = 2 % без вентиляції.

де
СГДК = 2 %; V - об'єм простору в сховищі на 1 людину, 1.5м3
; VСО2 - кількість вуглекислого газу, яка виділяється людиною,
15 л/год.
5. Визначення потрібної кількості двоярусних
нар (H) шт.
H
= N / nH ,
де
nH
20% N ( див. норми )
Визначення аварійного
запасу води на дві доби:
Vв = 2 х
Vв(1-ну люд.) х N
л.
Vв(1-ну
люд.) –
добова норма споживання води
на одну людину ( див. норми )
6. Визначення часу заповнення сховища.
При експлуатації
сховищ необхідно організовано, швидко і чітко їх заповнити людьми за сигналом.
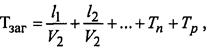
Загальний час, необхідний для заповнення захисної споруди:
![]()

де l1, l2 - довжина характерних
ділянок маршруту (горизонтальна поверхня, сходи тощо), м; для спрощення
розрахунків перехід по сходах на один поверх можна прирівняти до потроєної
висоти поверху:
V1\ V2 - швидкість руху на
відповідних ділянках шляху, м/хв;
Тп - час, який
витрачається на проходження через вхідний
отвір у споруду, хв;
Tp - час, який
витрачається людиною на виконання мінімально необхідних дій при оголошенні
сигналу (збір, виключення верстатів, електроосвітлення, одягання тощо) до
початку руху по споруді. Звичайно на це витрачається 1,5 - 2 хв.
Швидкість
руху людей на відкритій ділянці маршруту без
стримуючих умов зустрічних потоків пришвидшеним кроком або
бігом приймається за 80 - 135 м/хв. Для осіб похилого віку вона
буде трохи менша.
Швидкість
руху при максимальній густоті потоку приймають:
по
горизонтальній поверхні - 16 м/хв,
по
сходах униз -10 м/хв, вгору - 8 м/хв.
Час на перехід через вхідні двері:
Tn = N:P,
де N — місткість споруди;
P — пропускна
здатність входу для дверей: шириною
В такому випадку сумарний час заповнення
сховища:
T
= LГ : VГ + LC : VC + N : P хв.,
де LГ - довжина прямої ділянки
(від робочого місця до сховища) в (м);
LC - довжина сходинок, що
ведуть до сховища
в
(м);
VГ ,VC - швидкість руху на відповідних ділянках шляху,
м/хв.;
N
- місткість
споруди;
P - пропускна здатність
входу.
8. На основі отриманих даних робимо загальний
висновок у вигляді таблиці.
|
№ зп |
Показник |
Результат |
|
1.
|
Місткість
сховища N чол. |
|
|
2.
|
Площа
основних приміщень S0=S1+Sмп+Sпу, м2. |
|
|
3.
|
Загальну
площу сховища Sз=S0+SД, м2 |
|
|
4.
|
кількості
двоярусних нар (H) шт. |
|
|
5.
|
загальний об'єм сховища Wзаг ,м3 |
|
|
6.
|
герметичність
сховища |
|
|
7.
|
Кількості
(n) фільтрів-поглиначів (шт.) |
|
|
8.
|
Час
заповнення сховища (хв.) |
|
Таблиця 7.5
Варіанти до виконання індивідуальної роботи
|
Показник |
Варіант |
|
||||||||||||||
|
1 |
2 |
3 |
4 |
5 |
6 |
7 |
8 |
9 |
10 |
11 |
12 |
13 |
14 |
15 |
||
|
Місткість (чол.) |
400 |
500 |
600 |
700 |
800 |
900 |
1000 |
1200 |
1000 |
1200 |
1100 |
1000 |
1000 |
900 |
1000 |
|
|
Марка фільтра-поглинача ФП |
100 |
200 |
300 |
100 |
200 |
300 |
100 |
200 |
300 |
100 |
200 |
300 |
100 |
200 |
300 |
|
|
LГ
– довжина прямої (м) |
200 |
250 |
300 |
350 |
400 |
200 |
250 |
300 |
350 |
400 |
200 |
250 |
300 |
350 |
400 |
|
|
LC - довжина сходинок (м) |
10 |
10 |
15 |
20 |
20 |
10 |
10 |
15 |
20 |
20 |
10 |
10 |
15 |
20 |
20 |
|
Продовження Таблиця 7.5
|
Показник |
Варіант |
||||||||||||||
|
16 |
17 |
18 |
19 |
20 |
21 |
22 |
23 |
24 |
25 |
26 |
27 |
28 |
29 |
30 |
|
|
Місткість (чол.) |
500 |
400 |
1200 |
600 |
900 |
1200 |
1000 |
1200 |
1200 |
900 |
1100 |
8000 |
8000 |
1100 |
1000 |
|
Марка фільтра-поглинача ФП |
100 |
200 |
300 |
100 |
200 |
300 |
100 |
200 |
300 |
100 |
200 |
300 |
100 |
200 |
300 |
|
LГ – довжина прямої (м) |
200 |
250 |
300 |
350 |
400 |
200 |
250 |
300 |
350 |
400 |
200 |
250 |
300 |
350 |
400 |
|
LC - довжина сходинок (м) |
15 |
15 |
10 |
10 |
20 |
15 |
15 |
10 |
10 |
20 |
15 |
15 |
10 |
10 |
20 |
7.7. Питання для контролю знань
1.
Способи
захисту від вражаючих факторів
2.
Сховищами
називають…?
3.
Класифікація
сховищ.
4.
За
місцем розташування сховища можуть бути..?
5.
По
забезпеченню фільтровентиляційним обладнанням сховища можуть бути
6.
Призначення
режимів постачання повітря у сховища
7.
Час
заповнення сховища.