Практична 1. Визначення „чорних” відміток вершин квадратів
Завдання: знаходження «чорних» відміток (відміток рельєфу) вершин квадратів на місцевості при даних значеннях висот горизонталей.
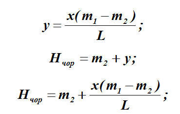
Відмітку рельєфу вершин квадратів знаходимо методом лінійної інтерполяції між двома суміжними горизонталями (рис. 1.).


де m – відмітка горизонталі