Тема 6. Проєктний
розрахунок систем опалення, теплопостачання
6.1. Тепловий баланс
приміщень
Основні параметри мікроклімату приміщень нормуються нормативами з
опалення та вентиляції, а також санітарно-гігієнічними правилами та нормами.
Основним при проектуванні систем опалення та вентиляції будівель та споруд є
ДБН В.2.5-67:2013 Опалення, вентиляція та кондиціонування [52].
Мікроклімат приміщення ‑ умови внутрішнього середовища приміщення, що впливають на
тепловий обмін людини з оточенням шляхом конвекції, кондукції
(теплопередачі), теплового випромінювання та випаровування вологи; ці умови
визначаються поєднанням температури, відносної вологості та швидкості руху
повітря, температури оточуючих людину поверхонь та інтенсивністю теплового
(інфрачервоного) опромінення [52].
Детальніше про значення параметрів мікроклімату для комфортних зон – у
нормативі [52] та навчальній літературі [26-43]. Їх називають
розрахункові внутрішні умови: оптимальні і допустимі. Причому, оптимальні умови
повинні забезпечуватись в усій робочій зоні (об’ємі) на висоті до
Згідно [52] розрізняють такі мікрокліматичні умови
(умови мікроклімату):
- оптимальні -
поєднання параметрів мікроклімату, які при тривалому та систематичному впливі
на людину забезпечують зберігання нормального теплового стану організму без
активізації механізмів терморегуляції; вони створюють відчуття теплового
комфорту та забезпечують передумови для високого рівня працездатності;
- підвищені оптимальні
- оптимальні мікрокліматичні умови у приміщеннях з дуже чутливими та слабкими
людьми з особливими потребами, такими як: інваліди, хворі, маленькі діти та
люди похилого віку;
- допустимі -
поєднання параметрів мікроклімату, які при тривалому та систематичному впливі
на людину можуть викликати зміни теплового стану організму, що швидко минають і
нормалізуються, але супроводжуються напруженням механізмів терморегуляції в
межах фізіологічної адаптації; при цьому не виникає ушкоджень або порушень
стану здоров’я, але можуть спостерігатися дискомфортні тепловідчуття,
погіршення самопочуття та зниження працездатності;
- обмежено допустимі -
допустимі мікрокліматичні умови у приміщеннях будівель з обмеженим
використанням упродовж року (менше чотирьох місяців підряд упродовж року).
Мікроклімат приміщень
повинен забезпечувати відповідні умови і вимоги, що залежать від призначення
приміщень:
1) для громадських і
житлових, виробничих приміщень, де перебувають, працюють або проживають люди –
це комфортні умови;
2) для промислових
приміщень – це, також, умови виконання технологічного процесу;
3) для
сільськогосподарських підприємств – умови відповідно до специфіки виробництва
(інкубатори, зерносховища, ферми, теплиці тощо).
У приміщеннях
будь-якого призначення, як правило, є не лише тепловтрати, але й джерела теплопоступлення.
Тепло у приміщення
поступає від людей, технологічного обладнання і комунікацій, нагрітих
матеріалів, напівфабрикатів та виробів, штучного освітлення та електродвигунів,
від безпосереднього спалювання палива, внаслідок сонячної радіації тощо.
Тепловтрати в
приміщеннях у холодну пору року відбуваються через огороджувальні конструкції,
ворота, вікна, двері та завдяки негерметичності конструкцій. Випаровування
вологи з відкритих водних або зволожених поверхонь супроводжується втратами тепла,
через що температура внутрішнього повітря у приміщенні знижується.
Надлишок тепла,
виробленого людським організмом, випромінюється у навколишнє середовище.
Порушення теплового балансу людини погіршує її самопочуття і працездатність. У
спокійному стані доросла людина виробляє і віддає у навколишнє середовище
90-120 Вт, при легкій роботі – до 250 Вт, при важкій – до 500 Вт, при
максимально можливих короткочасних навантаженнях – до 1000 Вт.
Комфортність середовища приміщення для людини забезпечується
поєднанням таких нормативних показників мікроклімату як розрахункова
температура внутрішнього повітря приміщення (на висоті
Температура
зовнішнього повітря не є постійною. Вона має закономірні річні, місячні, добові
коливання, які для кожного географічного району визначаються за
ДСТУ-Н Б В.1.1-27:2010 Будівельна кліматологія [51].
Вологість та швидкість
руху внутрішнього повітря приміщення мало змінюються, тому основна увага – на
розрахункову температуру внутрішнього повітря приміщення, температуру
внутрішніх поверхонь огороджень.
При розрахунках слід
враховувати відхилення у різних місцях приміщення (особливо по висоті) значень
температур від розрахункової температури внутрішнього повітря приміщення
(градієнт температури доходить до кількох градусів на
Складний теплообмін –
це процес перенесення тепла, який розкладається на три основних види, що, як
правило, проходять одночасно:
а) теплопровідність (кондукція) – перенесення тепла при безпосередньому контакті
частинок речовини, що супроводжується обміном енергії і їх тепловим рухом.
Теплопровідність рідких і особливо газоподібних тіл незначна. Тверді тіла мають
різну теплопровідність. Тіла з малою теплопровідністю називають
теплоізоляційними;
б) конвекція – це
процес перенесення тепла шляхом переміщення і змішування частинок рідини або
газу. Конвекція завжди супроводжується теплопровідністю. При природній
конвекції (змішування, зумовлене різницею густин) нагріті об’єми теплоносія
піднімаються, а охолоджені – опускаються. Наприклад, повітря, нагріте від
нагрівального приладу системи опалення, піднімається вгору, розповсюджуючись по
приміщенні та передаючи тепло у інші частини приміщення. Примусова конвекція
забезпечується помпами, вентиляторами, ежекторами, що інтенсифікують процес
теплообміну;
в) теплове
випромінювання – перенесення тепла від тіла до тіла електромагнітними хвилями,
що рухаються в усіх напрямках від поверхні тіла. Ця променева енергія може
частково поглинатись тілами, перетворюючись знову у тепло (підвищуючи їх
температуру).
6.2. Теплотехнічний розрахунок огороджувальних конструкцій
будівлі
Даний розрахунок виконується для визначення і вибору мінімально
можливої товщини огороджувальних конструкцій будівлі, що відповідає теплотехнічним, санітарно-гігієнічним,
естетичним, техніко-економічним вимогам при забезпеченні міцності відповідних
конструктивних елементів (огороджувальних чи огороджувально-несучих)
будівлі. Нижче наведено розгляд питань методики теплотехнічного розрахунку на основі діючих нормативних
вимог, у зв’язку з проектуванням систем опалення та вентиляції.
Основним для теплотехнічного розрахунку огороджувальних
конструкцій будівлі є норматив ДБН В.2.6-31:2021. Теплова ізоляція та
енергоефективність будівель [50]).
6.2.1. Визначення опору
теплопередачі огороджувальних конструкцій.
Теплоізоляційна оболонка будинку – система
огороджувальних конструкцій будинку, що забезпечує збереження теплоти для
опалення приміщень.
Непрозорі конструкції – ділянки
теплоізоляційної оболонки будинку (стіни, покриття, перекриття тощо), до складу
яких входить один і більше шарів матеріалів, що не пропускають видиме світло.
Світлопрозорі конструкції – ділянки
теплоізоляційної оболонки будинку (вікна, балконні та вхідні двері, вітражі,
фасадні системи, вітрини, ліхтарі тощо), що пропускають видиме світло.
Опір теплопередачі – величина, що визначає здатність конструкції
чинити опір тепловому потоку, що через неї проходить, та є зворотньою
до коефіцієнту теплопередачі.
Коефіцієнт теплопередачі - коефіцієнт, що визначає кількість
теплоти, що передається через одиницю площі (м2) конструкції за
одиницю часу при різниці температур середовищ, що їх розділяє конструкція, яка
дорівнює 1 К.
Для зовнішніх огороджувальних конструкцій будівель та споруд, що
опалюються та/або охолоджуються, і внутрішніх конструкцій, що розділяють
приміщення, температури повітря в яких відрізняються на 4 0С та
більше, обов'язкове виконання умов [50]:
RΣ пр ≥ Rq min , (6.2.1)
Δθint-si ≤ Δθint-si,max, (6.2.2)
θtb,si,min > θsi,min.
(6.2.3)
де RΣ пр
– приведений опір теплопередачі огороджувальної конструкції, м2·К/Вт;
Rq min – мінімально
допустиме значення приведеного опору теплопередачі непрозорої огороджувальної
конструкції чи непрозорої частини огороджувальної конструкції, мінімально
допустиме значення приведеного опору теплопередачі світлопрозорої
огороджувальної конструкції, м2·К/Вт;
Δθint-si – різниця між температурою внутрішнього
повітря і приведеною температурою внутрішньої поверхні огороджувальної
конструкції за внутрішніми розмірами, 0С, згідно з [50];
Δθint-si,max – допустима за
санітарно-гігієнічними вимогами різниця між температурою внутрішнього повітря і
приведеною температурою внутрішньої поверхні огороджувальної конструкції за внутрішніми розмірами, 0С,
згідно з [50];
θtb,si,min – мінімальне значення
температури внутрішньої поверхні в зонах теплопровідних включень в
огороджувальній конструкції, 0С, визначається на підставі
розрахунків двомірних або тримірних температурних полів;
θsi,min – мінімально
допустиме значення температури внутрішньої поверхні при розрахункових значеннях
температур внутрішнього й зовнішнього повітря, 0С, за [50].
Теплова інерція огороджувальних конструкцій визначається за
ДСТУ-Н Б В.2.6-190, для цього використовується формула:
, (6.2.4)
Де Ri – термічний опір i-го шару конструкції,
за формулою:
Ri = δi / λiр
(6.2.5)
де δi
– товщина i-го шару конструкції, м;
λiр – теплопровідність матеріалу i-го шару конструкції в
розрахункових умовах експлуатації, Вт/(м·К).
Приймається за даними табл. А.1 ДСТУ Б В.2.6-189 або за даними
випробувань згідно нормативної методики;
siр – коефіцієнт теплозасвоєння матеріалу i-го
шару конструкції в розрахункових умовах експлуатації, Вт/(м2 ·К).
Приймається за даними табл. А.1 ДСТУ Б В.2.6-189 або за даними випробувань
згідно нормативної методики;
n – кількість шарів в конструкції за напрямком теплового потоку.
Формула (6.2.4) наведена для багатошарової конструкції, що
складається з однорідних шарів. Якщо шари складаються з різних матеріалів, то
для конструкції чи її частини, що розраховується, треба враховувати середні
термічні опори в межах товщини δi
за вимогами [50].
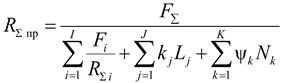
Приведений опір теплопередачі термічно неоднорідної непрозорої
огороджувальної конструкції визначається за формулою:
|
|
(6.2.6) |
де F∑
- загальна площа огороджувальної конструкції, м2 ;
Fі - площа і-ої термічно однорідної частини конструкції, м2 ;
kj – лінійний
коефіцієнт теплопередачі j-го лінійного теплопровідного включення, Вт/(м х К);
Lj – лінійний
розмір (проекція) j-го лінійного теплопровідного включення, м;
Ψk – точковий
коефіцієнт теплопередачі k-го точкового теплопровідного включення, Вт/К;
Nk – загальна
кількість k-х точкових теплопровідних включень, шт.
R∑і – опір теплопередачі і-ої термічно
неоднорідної частини конструкції, (м2хК)/Вт, за формулою:
|
|
(6.2.7) |
де αВ, αЗ –
коефіцієнти тепловіддачі внутрішньої та зовнішньої поверхонь огороджувальних
конструкцій, Вт/(м2 х К);
Rі – опір теплопередачі
і-го шару конструкції, (м2К)/Вт;
δі – товщина і-го шару
конструкції, м;
λір – теплопровідність матеріалу і-го шару конструкції
в розрахункових умовах експлуатації, Вт/(м х К);
n – кількість шарів огороджувальної конструкції.
Для поверхні підлог:
-
житлових приміщень в житлових будівлях;
-
приміщень, за якими визначається розрахункова площа, в громадських будівлях;
-
приміщень із постійними робочими місцями в опалюваних приміщеннях промислових
будівель
обов'язкове
виконання умови:
|
Yf ≤ Yf,max, |
(6.2.8) |
де Yf – показник теплозасвоєння
поверхнею підлоги, Вт/(м2·К), що визначається згідно з ДСТУ Б
В.2.7-276;
Yf,max – максимально
допустиме значення показника теплозасвоєння поверхнею
підлоги, Вт/(м2·К), що встановлюють згідно з таблицею 4 [47] в
залежності від призначення будівлі.
6.2.2. Тепловологісний
режим огороджувальних конструкцій.
За [50] повітропроникність зовнішніх огороджувальних конструкцій
повинна відповідати вимогам згідно з ДСТУ-Н Б В.2.6-191, а їх вологісний стан – вимогам згідно з ДСТУ-Н Б В.2.6-192 (при
оцінюванні вологісного стану огороджувальних
конструкцій допускається застосовувати методи розрахунку з гідно з ДСТУ EN ISO
13788).
Згідно нормативних вимог у приміщеннях житлових, громадських
будівель і більшості промислових приміщень не допускається конденсація водяної
пари на внутрішніх поверхнях огороджувальних конструкцій та накопичення вологи всередині
них.
Вологісний режим приміщень вибирається за відносною вологістю їх
внутрішнього повітря, за ДБН В.2.6-31:2921 [50].
Водяна пара конденсується на поверхні, що має температуру, нижчу
від точки роси – критичної температури θD охолодження повітря
при постійній вологості. Для уникнення конденсації потрібно щоб θsi,min > θD (для температури θsi,min на внутрішній поверхні огороджувальної
конструкції) та θsi,min.X > θD (для температури θsi,min.X всередині
огороджувальної конструкції в точці
X). Якщо умова не
забезпечується, то збільшують термічний
опір (потовщують стіну, використовують кращий теплоізоляційний
будівельний матеріал).
6.2.3. Розрахунок тепловтрат приміщень.
Даний розрахунок полягає у визначенні тепловтрат через прозорі та
непрозорі огороджувальні конструкції будівлі, яке виконується для кожного
приміщення будівлі, згідно вимог [50]. Далі, сумуються
тепловтрати усіх приміщень, для визначення тепловтрат будівлі. Розрахунки
зручно виконувати у табличній формі [1, 28 та ін.].
Тепловтрати кожного приміщення є вихідними даними до вибору потужності
опалювальних приладів цього приміщення.
Для орієнтовного попереднього розрахунку тепловтрат житлової будівлі
(для попередньої оцінки тепловтрат з метою підбору трубопроводів, обладнання та
генератора тепла системи опалення) можна приймати розмір тепловтрат в межах
50-100 кВт/м2 опалюваної площі.
Загальні тепловтрати будівлі, отримані при розрахунку системи опалення,
не повинні перевищувати допустимих за розрахунком енергоефективності будівлі,
визначених для заданого класу енергетичної ефективності будівлі за питомою енергопотребою з [50, табл. 1].
6.3. Розрахунок систем опалення
Основним нормативним документом при проектуванні систем опалення будівель
та споруд є ДБН В.2.5-67:2013 Опалення, вентиляція та кондиціонування [52].
Згідно [52] опалення
– штучне нагрівання приміщення в опалювальний період року для
компенсації тепловтрат та підтримання нормованої температури із середньою
незабезпеченістю 50 год/рік.
Система чергового опалення – система (окрема система або режим використання основної системи) для
опалення будівлі (приміщення) у неробочий час або під час перерв у використанні
приміщень [52].
Система опалення комбінована ‑ система, що складається з постійно діючої фонової системи опалення для
часткового обігрівання та періодично працюючої догріваючої
системи у робочий час [52].
Розрахунок системи опалення
починається з визначення тепловтрат через огороджувальні конструкції, який
виконується за даними проведеного теплотехнічного розрахунку огороджувальних
конструкцій.
Розрахунок тепловтрат приміщень
будівлі виконується з метою їх компенсації при опаленні будівлі. Його
результати використовуються при проектуванні (виборі, конструюванні, розрахунку)
системи опалення кожного спалюваного приміщення і будівлі загалом.
Теплове навантаження системи
опалення визначається згідно з ДСТУ EN 12831-1:2017 [46]. Даний метод
розрахунку проектного теплового навантаження включає визначення тепловтрат
опалюваними приміщеннями: трансмісійних ‑ через огороджувальні будівельні
конструкції; вентиляційних ‑ на нагрівання інфільтраційного повітря. А
при періодичному режимі роботи системи опалення також додається ще одна
складова теплового навантаження ‑ компенсаційна теплова потужність в
опалюваних приміщеннях.
Для обґрунтованого вибору системи
опалення будівлі слід мати дані про тепловтрати кожного опалюваного приміщення
та про загальні тепловтрати будівлі, без побутових чи виробничих тепловиділень.
Основні принципи гідравлічного розрахунку теплопроводів систем
опалення будівель викладено нижче.
Найпоширенішою основною та рекомендованою [52] системою опалення будівель, особливо житлових
будинків, є водяна (рідше – парова, повітряна, пічна).
Поряд з основною можуть застосовуватись системи електро-, паро-, повітроопалення,
як додаткові. Нижче наведено методику гідравлічного розрахунку трубопроводів
систем водяного опалення. Цей розрахунок виконується після підбору і розрахунку
опалювальних приладів. Аналогічними є методи розрахунку паро- та
конденсатопроводів систем парового опалення.
Для вибраної системи опалення
будівлі виконуються проєктно-розрахункові роботи, із
зведенням основних результатів у таблицю гідравлічного розрахунку трубопроводів
та викреслюванням аксонометричної схеми системи опалення, за такою
послідовністю.
1. На викреслених планах поверхів
розташовуються опалювальні прилади, стояки, магістральні трубопроводи,
розширювальний бак (в системах з природною циркуляцією), тепловий пункт (котел
з обв'язкою).
2. Викреслюється розрахункова
аксонометрична схема трубопроводів системи опалення (як правило, в масштабі
планів).
На планах і на аксонометричній
схемі (схемах) умовно позначаються усі конструктивні елементи та параметри.
3. На
аксонометричній схемі вказуються теплові навантаження на кожен прилад. Теплове
навантаження на стояк визначається як сума навантажень на прилади цього стояка.
4. Вибирається головне
циркуляційне кільце системи (ГЦК) – з найменшим наявним циркуляційним тиском на
1 м довжини трубопроводу (гідравлічно найневигідніше), для цього кільця виконується умова:
(6.3.1)
де
,Па ‑ наявний циркуляційний тиск кільця;
, м ‑ довжина кільця.
Як правило, в тупикових схемах
однотрубних систем ГЦК проходить через найвіддаленіший стояк, через нижній
прилад такого стояка – у тупикових схемах двотрубних систем.
Для схем з попутнім рухом
теплоносія ГЦК проходить через один із середніх з найбільшим тепловим
навантаженням стояків – у однотрубних системах; через нижній прилад такого
стояка – у двотрубних системах.
Наведені правила вибору ГЦК
справедливі для систем опалення із природною та примусовою циркуляцією,
5. ГЦК розбивається на
розрахункові ділянки. Це частини трубопроводу системи з незмінними значеннями
витрати теплоносія і діаметру труби. Для кожної ділянки визначається:
порядковий номер; теплове навантаження; довжина ділянки.
6. Витрата води, що протікає по
розрахунковій ділянці:
, кг/с (6.3.2)
де Q, Вт - теплове
навантаження ділянки;
, °С - перепад
температур гарячого і охолодженого теплоносія в системі опалення; с, Дж / (кг К)
– теплоємність теплоносія. Для води: с=4187
4190 Дж / (кг К).
У розрахункових таблицях
записуються витрати води на ділянках у кг/год, тому розрахунки виконуються за
формулою:
, кг/год (6.3.3)
де 3,6 - перевідний коефіцієнт з Вт у кДж.
Для орієнтовного переведення, при
потребі, витрати G з кг у м3 отримане значення можна поділити на
густину теплоносія
, кг/м3,
що відповідає температурі теплоносія на ділянці. Витрата охолодженої води, підмішуваної повторно з системи опалення в елеватор:
, кг/год (6.3.4)
де
, кг/год - витрата
води, що циркулює в системі опалення, в якій температури гарячої і охолодженої
води в подавальній та зворотній магістралях
та
, 0С;
, кг/год - витрата гарячої води, що
поступає до елеватора з тепломережі, в якій температури гарячої і охолодженої
води
і
. Як правило,
=
;
- сумарна витрата тепла системою на опалення, тобто теплове
навантаження системи. Приймається з врахуванням тепловтрат трубопроводів.
7. Для вибраного головного
циркуляційного кільця (ГЦК) визначається розрахунковий циркуляційний тиск
.
а) У системах з природною
циркуляцією води:
(6.3.5)
де природний (гравітаційний) циркуляційний тиск:
(6.3.6)
і додатковий природний
циркуляційний тиск від охолодження води у трубопроводах:
(6.3.7)
Як правило,
визначають за
графіками (таблицями), пропорційно відстані від
головного стояка до розрахункового. У цій формулі:
g=9,8 м/с2 -
прискорення вільного падіння;
i,j - порядкові номери в окремому стояку (двох стояках - для
двотрубної системи) умовних точок охолодження, розташованих вертикально
посередині приладу (і=1...m) або ділянки труби між приладами (j=1…n);
, м - висота від середини (по вертикалі) котла чи
елеваторного вузла до відповідної умовної точки охолодження приладу або ділянки
труби;
та
, кг/м3 - густина води при
температурі води на вході
та на виході
для приладу або
ділянки труби.
У системах з примусовою (штучною)
циркуляцією розрахунковий циркуляційний тиск:
Па (6.3.8)
де
- тиск, створений насосом чи
елеватором додатково до природного
за формулою (6.3.5);
Б – коефіцієнт, що
враховує рекомендовану нормами частку від впливу природного циркуляційного
тиску системи: для двотрубних 0,4-0,5, для однотрубних 1.
Для систем довільної довжини
можна орієнтовно
приймати з умови:
, (6.3.9)![]()
де
- сума довжин ділянок розрахункового кільця.
Природний тиск, менший 10 %
від створюваного насосом,
, у розрахунках не враховується:
.
8. Визначається
- орієнтовна питома
втрата тиску на тертя, що припадає на 1 м довжини кільця трубопроводу. За
методом розрахунку трубопроводів за питомими втратами:
, Па/м (6.3.10)
де Т
- частка втрат на тертя. Приймається: для систем з природною циркуляцією
0,5, з примусовою - 0,65;
9. Підбираються діаметри труб,
ділянок за таблицею для гідравлічного розрахунку трубопроводів систем водяного опалення
(таблиці з довідників, для заданих матеріалів трубопроводів системи опалення):
для передбачуваного діаметру dу, мм,
та відомої витрати води G, кг/год, визначається питома втрата
тиску R, Па/м, та швидкість води у
трубопроводі v, м/с (для малих
діаметрів труб – підведень до приладів R приймають, як правило, значно меншим
та мінімальні
швидкості, у інших випадках, враховуючи, що
величини R можуть бути більшими чи меншими від
, а швидкості
вибираються з умови
: для dу,
мм: <15; 15; 20; 25; 32;
максимально допустима
швидкість,
м/с, відповідно приймається: 0,25; 0,30; 0,65; 0,80; 1,0;
1,5.
Втрати тиску на тертя у трубопроводах
за рівнянням Дарсі-Вайсбаха для втрат тиску по
довжині:
Па (6.3.11)
де
- коефіцієнт Дарсі;
, м - довжина ділянки трубопроводу з незмінним внутрішнім
діаметром d, м, густиною
(питомою масою)
, кг/м3,
та швидкістю руху теплоносія
, м/с;
, Па - динамічний тиск теплоносія на ділянці;
, Па/м - питомі втрати на тертя води зі стінками
трубопроводу на ділянці.
10. Визначаються втрати тиску у
місцевих опорах:
Па (6.3.12)
де
- сума безрозмірних коефіцієнтів місцевих опорів, для систем
водяного опалення – за довідниками.
Значення Z, як і
, зручно
знаходити за номограмами.
11. Знаходиться сума втрат тиску
і
для кожної ділянки,
після чого знаходиться сума втрат тиску у системі
, Па. Для головного циркуляційного кільця перевіряється
умова:
(6.3.13)
де
- з формули (6.3.8). Тобто, залишається
запас у 5...10 % на невраховані в розрахунку гідравлічні опори.
Якщо умова (6.3.13) не
виконується, то відповідно зменшуються (збільшуються) значення
і
на окремих ділянках циркуляційного
кільця. Тобто, приймаються нові значення
і
окремих ділянок та
знаходяться відповідні їм
. Перевірка повторюється.
Розраховане за вищенаведеною послідовністю
ГЦК приймається основним, з результатами його гідравлічного розрахунку
узгоджуються відповідні значення
інших циркуляційних кілець
системи. Кожне з циркуляційних кілець системи має
спільні точки з ГЦК, в яких відбувається злиття або розподіл теплоносія. Тобто,
у кожному з таких кілець є півкільця, одне з яких не
розраховане, а інше співпадає з частиною ділянок ГЦК. Тому, .гідравлічно розраховуються і узгоджуються з ГЦК хоча б 2-3
півкільця системи. Тобто, має виконуватись умова:
(6.3.14)
де
15 % - неузгодження втрат тиску у півкільці
з втратами тиску на відповідній ділянці ГЦК
.
Різницю тисків (неузгодженість)
гасять, наприклад, кранами подвійного регулювання чи дроселювальною
шайбою.
Якщо гідравлічний розрахунок є
неповним (розраховано лише одну з приблизно рівнозначних віток), то, для його
спрощення, на гідравлічно нерозрахованих ділянках
приймають діаметри труб по аналогії до розрахованих ділянок. У важливих
випадках чи при нерівнозначних вітках (за довжиною; тепловим навантаженням;
втратами тиску) потрібно виконувати повний гідравлічний розрахунок усіх віток,
півкілець системи.
6.4. Розрахунок систем теплопостачання
Основним нормативним документом для розрахунку систем
теплопостачання є ДБН В.2.5-39:2008 Теплові мережі [53], а вихідними даними для
них служать також розрахунки систем опалення і вентиляції [52, 53], гарячого
водопостачання [48, 53], технологічних потреб промислових підприємств
(визначаються за нормативами для конкретного виду виробництва, будівель та
споруд). Тому, нижче наведено основні принципи методики розрахунку систем
теплопостачання згідно [53].
6.4.1. Розрахунок теплових потоків.
Потребу в тепловій енергії визначають за видами теплоспоживання: на опалення, вентиляцію, гаряче
водопостачання, технологічні потреби.
Вибір принципової схеми підключення системи гарячого
водопостачання до теплової мережі виконується
за рекомендаціями [1, 11-14, 26-30, 47, 52, 53].
Навантаження гарячого водопостачання підключають до тепломережі
за залежною або незалежною схемами.
При залежній схемі (відкрита тепломережа) вода для гарячого
водопостачання береться безпосередньо з тепломережі.
При незалежній схемі (закрита тепломережа) до тепломережі
підключають поверхневі теплообмінники, в яких підігрівають воду для гарячого
водопостачання.
При проектуванні теплових мереж максимальні теплові потоки на
опалення
, вентиляцію
гаряче водопостачання Qг.в.макс. житлових, громадських та
виробничих споруд приймаються за відповідними індивідуальними та типовими
проектами. За відсутності проектів опалення, вентиляції та гарячого
водопостачання теплові потоки, Вт, для житлових районів міст та інших населених
пунктів визначають за формулами:
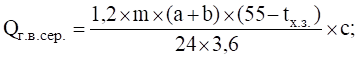
а) максимальний тепловий потік на опалення житлових та
громадських споруд:
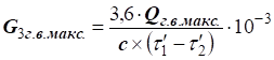
; (6.4.1)
б) максимальний тепловий потік на вентиляцію громадських споруд:
; (6.4.2)
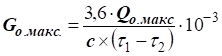
в) середній тепловий потік на гаряче водопостачання житлових та
громадських споруд в опалювальний період:
(6.4.3)
або
(6.4.4)
г) максимальний тепловий потік на гаряче водопостачання житлових
та громадських споруд:
(6.4.5)
д) середній тепловий потік на опалення:
, (6.4.6)
те саме на вентиляцію:
(6.4.7)
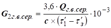
е) середній тепловий потік на гаряче водопостачання житлових та громадських
споруд у неопалювальний період:
. (6.4.8)
У формулах (6.4.1) - (6.4.8):
q0 - питомий показник максимального теплового потоку
на опалення житлових будинків на
qn - питомий показник середнього теплового потоку на гаряче
водопостачання на одну людину відповідно до таблиці 6.4.1;
А - загальна площа житлових будинків, м2;
К1 - коефіцієнт, що враховує тепловий потік на
опалення громадських споруд;
К2 - коефіцієнт, що враховує тепловий потік на
вентиляцію громадських споруд;
tB - розрахункова температура внутрішнього повітря опалюваних
споруд, °С;
tp.о. - розрахункова температура зовнішнього повітря для
проектування опалення та вентиляції, °С;
1,2 - коефіцієнт, що враховує тепловіддачу в приміщення від
теплопроводів систем гарячого водопостачання (опалення ванних кімнат, сушіння
білизни);
а - норма витрати води на гаряче водопостачання, л, за
температури 55 °С, на одну людину на добу, що проживає в будинку з гарячим
водопостачанням;
Табл. 6.4.1. Питомий показник середнього
теплового потоку на гаряче водопостачання на одну людину
|
Середня за опалю-вальний період
норма витрати води за температури 55 °С на гаряче водопостачання на добу
на одну людину, що проживає в будинку з гарячим водопостачанням, л |
Питомий показник середнього
теплового потоку на гаряче водопостачання на одну людину, Вт, що проживає в
будинку |
||
|
з гарячим водо-поста-чанням |
з гарячим водо-постачанням з
урахуванням споживання в громадських будинках |
без гарячого водо-постачання з
урахуванням споживання в громадських будинках |
|
|
85 |
247 |
320 |
73 |
|
90 |
259 |
332 |
73 |
|
105 |
305 |
376 |
73 |
|
115 |
334 |
407 |
73 |
в - норма витрати води на гаряче водопостачання, л, що споживається
в громадських спорудах, за температури 55 °С;
m - кількість людей;
- температура холодної
води відповідно в опалювальний (зимовий) та неопалювальний (літній) періоди (за
відсутності гідрогеологічних даних приймають tх.з.=
5 °С, tx.л.= 15 °С);
с - питома теплоємність води, приймається в розрахунках
4,187 кДж/(кг·°С);
tcep.o. - середня температура зовнішнього
повітря за опалювальний період, °С;
- коефіцієнт, який враховує
зміну середньої витрати води на гаряче водопостачання в неопалювальний період
по відношенню до опалювального періоду; за відсутності даних приймається для
житлово-комунального сектора 0,8 (для курортних та південних міст
= 1,5), для підприємств - 1,0.
При визначенні сумарних теплових потоків житлових та громадських
споруд, що приєднуються до теплових мереж, за наявності технічної можливості
враховують теплові потоки на гаряче водопостачання існуючих будівель, що
підлягають централізованому теплопостачанню, а також не мають централізованих
систем гарячого водопостачання.
У сумарних теплових потоках також враховуються нормативні втрати
теплової енергії в теплових мережах.
6.4.2. Визначення розрахункових витрат мережної води.
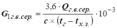
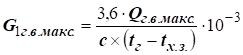
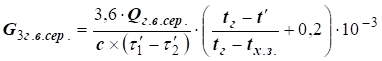
Розрахункову витрату води, т/год, визначається за формулами:
а) на опалення:
; (6.4.9)
б) на вентиляцію:
; (6.4.10)
в) на гаряче водопостачання у відкритих системах
теплопостачання:
-середній:
; (6.4.11)
-максимальний:
; (6.4.12)
г) на гаряче водопостачання в закритих системах теплопостачання
при паралельній схемі приєднання водопідігрівачів:
-середній:
; (6.4.13)
-максимальний:
; (6.4.14)
д) на гаряче водопостачання в закритих системах теплопостачання
при двоступеневих схемах приєднання водопідігрівачів:
- середній:
; (6.4.15)
-максимальний:
. (6.4.16)
Сумарна розрахункова витрата мережної води, т/год, у двотрубних
теплових мережах відкритих та закритих систем теплопостачання при якісному
регулюванні відпуску теплоти:
. (6.4.17)
Коефіцієнт k3, що враховує частку середньої витрати
води на гаряче водопостачання при регулюванні за навантаженням опалення,
приймається за табл. 6.4.2. При регулюванні за сумісним навантаженням
опалення та гарячого водопостачання коефіцієнт k3 приймається
нульовим.
Для споживачів при
відсутності
баків-акумуляторів, а також із тепловим навантаженням 10 МВт і менше сумарна
розрахункова витрата води:
(6.4.18)
Табл. 6.4.2. Коефіцієнт k3, що
враховує частку середньої витрати води на гаряче водопостачання
|
Системи теплопостачання |
Коефіцієнт k3 |
|
Відкрита, з тепловим навантаженням, МВт: |
|
|
100 та
більше |
0,6 |
|
менше 100 |
0,8 |
|
Закрита, з тепловим навантаженням, МВт: |
|
|
100 та більше
|
1,0 |
|
менше 100 |
1,2 |
|
Примітка. Для закритих систем теплопостачання при регулюванні за
навантаженням опалення та тепловим навантаженням менше 100 МВт за
наявності баків-акумуляторів у споживачів коефіцієнт k3 слід
приймати 1. |
|
Розрахункова витрата води, т/год, у двотрубних водяних теплових
мережах у неопалювальний період:
(6.4.19)
При цьому максимальну витрату води на гаряче водопостачання,
т/год, визначають для відкритих систем теплопостачання за формулою (6.4.12) за
температури холодної води в неопалювальний період, а для закритих систем при
всіх схемах приєднання водопідігрівачів гарячого водопостачання ‑ згідно
з формулою (6.4.14).
Витрату води у зворотному трубопроводі двотрубних водяних
теплових мереж відкритих систем теплопостачання слід приймати у розмірі
10 % від розрахункової витрати води, визначеної за формулою (6.4.19).
Витрати води, т/год, у теплових мережах відкритих систем
теплопостачання для гідравлічних режимів при максимальному водорозборі
із подавального або зворотного трубопроводів:
, (6.4.20)
де k4 - коефіцієнт, що враховує зміну середньої
витрати води на гаряче водопостачання в залежності від температурного графіка
регулювання відпускання теплоти та режиму водорозбору
з теплової мережі, що визначається відповідно до табл. 6.4.3.
У формулах (6.4.9) - (6.4.20):
с - питома теплоємність води в розрахунках
4,187 кДж/(кг °С);
- температура води в
подавальному трубопроводі теплової мережі за розрахункової температури
зовнішнього повітря tр.о.,°С;
- те саме, в
зворотному трубопроводі теплової мережі, °С;
tr - температура води, яка
надходить у систему гарячого водопостачання споживачів, °С;
- температура води в
подавальному трубопроводі теплової мережі в точці зламу графіка температур
води, °С;
- те саме, в
зворотному трубопроводі теплової мережі після системи опалення будівель, °С;
- температура води
після паралельно включеного водопідігрівача в точці зламу графіка температур
води, рекомендується приймати
= 30 °С;
- коефіцієнт, який враховує зміну середньої
витрати води на гаряче водопостачання в неопалювальний період по відношенню до
опалювального періоду, за відсутності даних приймається для
житлово-комунального сектора 0,8 (для курортних та південних міст
= 1,5), для підприємств - 1,0.
Табл. 6.4.3. Коефіцієнт k4, що
враховує зміну середньої витрати води на гаряче водопостачання
|
Режим водорозбору |
Наймену-вання
трубо-проводів |
Значення коефіцієнта k4 |
|
|
при централь-ному якісному
регулюванні за навантаженням опалення |
при центральному якісному регулюванні за сумісним
навантаженням опалення та гарячого водопостачання |
||
|
Максимальний із подавального
трубопроводу |
Подавальний Зворотний |
1 -1,4 |
1,4 -1 |
|
Мінімальний із зворотного
трубопроводу |
Подавальний Зворотний |
0,6 -1,8 |
1,2 -1,2 |
6.4.3. Схема прокладання тепломереж та
їх гідравлічний розрахунок.
На генплані (житлового кварталу, підприємства тощо) намічається траса
теплових мереж з урахуванням мінімальної протяжності, після чого визначаються характеристики тепломереж при гідравлічному
розрахунку. Відповідно до принципів трасування мереж, на розрахунковій схемі тепломереж розставляються
нерухомі опори, компенсатори, перекривальна арматура
та інше обладнання.
Гідравлічний розрахунок теплових мереж.
Головним завданням гідравлічного
розрахунку при проектуванні теплових мереж є правильний підбір діаметрів
трубопроводів, залежно від розрахованих загальних втрат
тиску (по довжині та у місцевих опорах), які зумовлюються розрахунковими
витратами теплоносія.
Для вже існуючих теплових мереж за
допомогою гідравлічного розрахунку визначають
витрати теплоносія. А для запроектованих тепломереж – навпаки, під задані проєктні витрати підбирають діаметри трубопроводів.
Зазвичай, гідравлічний
розрахунок мереж виконується за допомогою спеціальних програм на ПЕОМ.
Загальні теоретичні основи
гідравлічного розрахунку теплових мереж наведено у літературі [26-30, 52, 53 та ін.].
Існують різні методи гідравлічного
розрахунку теплових мереж, від вибору методу залежить витрата часу на
розрахунок та ступінь його точності.
Якщо втрати тиску на тертя (по довжині) та у місцевих опорах приблизно рівні, доцільно застосовувати метод питомих втрат на тертя, при якому втрати на розрахунковій
ділянці трубопроводу:
![]()
.
У формулі:
- втрати тиску на тертя (по довжині),
Па:
![]()
,
де питома втрата тиску, Па/м, на 1 м
довжини
ділянки трубопроводу:
(
, м/с - швидкість руху теплоносія густиною
, кг/м3, у трубопроводі з розрахунковим діаметром
, м);
- втрати тиску у місцевих опорах
ділянки трубопроводу, Па:
,
де
- сума коефіцієнтів місцевого опору ділянки трубопроводу.
Метод питомих втрат на тертя
застосовують при розрахунку парових мереж низького тиску і внутрішніх мереж
теплопостачання: систем опалення, систем теплопостачання калориферів тощо [26-30, 52, 53 та ін.].
У зовнішніх теплових
мережах втрати у місцевих опорах складають 30 – 40 % від втрат на
тертя (по довжині). Тому для їх
гідравлічного розрахунку
послуговуються методом розрахунку
трубопроводів за приведеними довжинами – зручний у випадку, коли втрати на
тертя (по довжині) є основними, а втрати у місцевих опорах – незначні.
При цьому місцеві опори замінюються еквівалентними довжинами. Еквівалентною
довжиною lekv
називається довжина труби, на якій втрати на тертя рівні динамічному тиску (або
втратам у місцевому опорі при коефіцієнті місцевого опору
=1).
Формула для визначення еквівалентної довжини на ділянці:
.
У даному методі розрахунку теплової мережі приведена довжина
ділянки мережі, м, становить:
.
Тоді, сумарні втрати тиску на ділянці, Па, за методом розрахунку трубопроводів за
приведеними довжинами:
.
За допомогою методу характеристик виконують гідравлічний розрахунок для існуючих
теплових мереж при потребі визначення їх пропускної здатності. Через пропускну
здатність (витрату) можна записати швидкість на ділянці мережі, за
рівнянням нерозривності:
,
де витрата теплоносія
, м3/с, переведена у кг/с:
.
Падіння тиску на ділянці:
![]()

.
У цій формулі характеристикою чи опором ділянки теплової мережі,
Па
с2/кг2, називають величину:
![]()
![]()
.
Для існуючої ділянки при
характеристика є
величиною постійною. При відомій характеристиці
втрата тиску на
ділянці:
![]()
.
(6.4.21)
Ця рівність дозволяє визначити витрату теплоносія на ділянці.
тобто пропускну здатність ділянки. при відомому опорі ділянки і відомому
падінні тиску на ній.
Для послідовно з’єднаних ділянок сумарна втрата тиску рівна сумі
втрат тиску на усіх ділянках. Наприклад, для трьох послідовних ділянок
(рис. 6.4.1,а):
![]()
.
|
а) |
б) |
Рис. 6.4.1. Послідовне (а) і паралельне (б) з’єднання ділянок:
1 – 3 –
ділянки теплової мережі
При паралельно з’єднаних ділянках втрати тиску на них рівні між
собою, для трьох паралельних ділянок (рис. 6.4.1,б):
.
З рівняння (6.4.21) витрата теплоносія на ділянці:

,
де
- провідність ділянки.
Сумарна витрата теплоносія при паралельному з’єднанні є сумою витрат ділянок, а
сумарна провідність – сумою провідностей ділянок:
![]()
![]()
.
Опір паралельно з’єднаних ділянок:
.
Гідравлічний розрахунок водяних теплових мереж виконується у два
етапи – попередній та кінцевий. При попередньому гідравлічному розрахунку
втрати тиску у місцевих опорах:
,
де
- коефіцієнт
врахування частки втрат тиску у місцевих опорах.
Попередній гідравлічний розрахунок інколи виконують на стадії
проектного завдання при техніко-економічних розрахунках. При кінцевому
гідравлічному розрахунку втрати тиску на місцевих опорах розраховують більш
точно, після розставлення компенсаторів і вимикаючої
арматури. Гідравлічний розрахунок виконується для подавального трубопроводу;
діаметр зворотнього трубопроводу і падіння тиску у
ньому приймають такими ж, як і у подавальному.
Попередній та кінцевий розрахунки зазвичай суміщають, при цьому
розрахунок виконують у такому порядку. На трасі трубопроводу визначають головну
магістраль, визначають розрахункові витрати теплоносія та довжини для її
ділянок та усіх інших ділянок теплової мережі. Головна магістраль внутрішньоквартальних теплових мереж встановлюється за найбільшими довжиною і тепловим
навантаженням, як правило, від джерела тепла до найвіддаленішого споживача.
Для гідравлічного розрахунку теплових
мереж значення діаметрів трубопроводів уточнюються:
за питомими втратами тиску R, Па/м, виходячи
з орієнтовних питомих втрат тиску до
80 Па/м; за розрахунковими
витратами теплоносія на опалення і вентиляцію будівель. Відгалуження
розраховуються за наявним перепадом тисків; при цьому, питома втрата тиску не
повинна перевищувати 300 Па/м, а швидкість теплоносія – 3,5 м/с.