Інженерні мережі

Методичні вказівки до виконання курсового проєкту

 

 

5. Розрахунок опалення

 

5.1. Теплотехнічний розрахунок огороджувальних конструкцій будівлі

 

Даний розрахунок виконується для визначення і вибору мінімально можливої товщини огороджувальних конструкцій будівлі, що відповідає теплотехнічним, санітарно-гігієнічним, естетичним, техніко-економічним вимогам при забезпеченні міцності відповідних конструктивних елементів (огороджувальних чи огороджувально-несучих) будівлі. Нижче наведено розгляд питань методики теплотехнічного розрахунку на основі діючих нормативних вимог, у зв’язку з проектуванням систем опалення та вентиляції.

Основним для теплотехнічного розрахунку огороджувальних конструкцій будівлі є норматив ДБН В.2.6-31:2021. Теплова ізоляція та енергоефективність будівель [50]). Для зручності проведення розрахунків, їх результати зводяться в таблички, приклади яких наведені у літературі [1, 28 та ін.].

 

5.1.1. Визначення опору теплопередачі огороджувальних конструкцій.

Теплоізоляційна оболонка будинку – система огороджувальних конструкцій будинку, що забезпечує збереження теплоти для опалення приміщень.

Непрозорі конструкції – ділянки теплоізоляційної оболонки будинку (стіни, покриття, перекриття тощо), до складу яких входить один і більше шарів матеріалів, що не пропускають видиме світло.

Світлопрозорі конструкції – ділянки теплоізоляційної оболонки будинку (вікна, балконні та вхідні двері, вітражі, фасадні системи, вітрини, ліхтарі тощо), що пропускають видиме світло.

Опір теплопередачі – величина, що визначає здатність конструкції чинити опір тепловому потоку, що через неї проходить, та є зворотньою до коефіцієнту теплопередачі.

Коефіцієнт теплопередачі – коефіцієнт, що визначає кількість теплоти, що передається через одиницю площі (м2) конструкції за одиницю часу при різниці температур середовищ, що їх розділяє конструкція, яка дорівнює 1 К.

Для зовнішніх огороджувальних конструкцій опалюваних будинків та споруд і внутрішніх міжквартирних конструкцій, що розділяють приміщення, температури повітря в яких відрізняються на 4 0С та більше, обов'язкове виконання умов [50]:

                RΣ пр ≥ Rq min ,                                   (5.1.1)

              Δθint-si ≤ Δθint-si,max,                             (5.1.2)

             θtb,si,min > θsi,min.                                   (5.1.3)

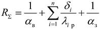
де  RΣ пр – приведений опір теплопередачі огороджувальної конструкції, м2·К/Вт;

Rq min – мінімально допустиме значення приведеного опору теплопередачі непрозорої огороджувальної конструкції чи непрозорої частини огороджувальної конструкції, мінімально допустиме значення приведеного опору теплопередачі світлопрозорої огороджувальної конструкції, м2·К/Вт. Визначається за п. 5.2, табл. 1, табл. 2 [50] залежно від температурної зони експлуатації будівлі за додатком А [50] та іншими кліматичними характеристиками за [51]. За п. 5.2 [50] в деяких випадках значення Rq min може зменшуватись до рівня 75-80 % від табличних значень Rq min ;

Δθint-si – різниця між температурою внутрішнього повітря і приведеною температурою внутрішньої поверхні огороджувальної конструкції за внутрішніми розмірами, 0С, згідно з [50], для світлопрозорих огороджувальних конструкцій розраховується в залежності від їх коефіцієнту скління згідно з п.п. 5.6.3 [50];

Δθint-si,max – допустима за санітарно-гігієнічними вимогами різниця між температурою внутрішнього повітря і приведеною температурою внутрішньої поверхні огороджувальної конструкції за внутрішніми розмірами, 0С, згідно з табл. 3 за [50];

θtb,si,min – мінімальне значення температури внутрішньої поверхні в зонах теплопровідних включень в огороджувальній конструкції, 0С, визначається на підставі розрахунків двомірних або тримірних температурних полів;

θsi,min – мінімально допустиме значення температури внутрішньої поверхні при розрахункових значеннях температур внутрішнього й зовнішнього повітря, 0С, за п. 5.5 [50]. 

Теплова інерція огороджувальних конструкцій:

,       (5.1.4)

де Ri – термічний опір i-го шару конструкції, за формулою:

Ri = δi / λiр                                                    (5.1.5)

де   δi – товщина i-го шару конструкції, м;

λiр – теплопровідність матеріалу i-го шару конструкції в розрахункових умовах експлуатації, Вт/(м·К). Приймається за даними табл. А.1 ДСТУ Б В.2.6-189:2013 або за даними випробувань згідно нормативної методики;

siр – коефіцієнт теплозасвоєння матеріалу i-го шару конструкції в розрахункових умовах експлуатації, Вт/(м2 ·К). Приймається за даними табл. А.1 ДСТУ Б В.2.6-189:2013 або за даними випробувань згідно нормативної методики;

n – кількість шарів в конструкції за напрямком теплового потоку.

Формула (5.1.4) наведена для багатошарової конструкції, що складається з однорідних шарів. Якщо шари складаються з різних матеріалів, то для конструкції чи її частини, що розраховується, треба враховувати середні термічні опори в межах товщини δi за вимогами [50].

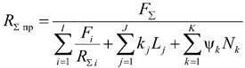
Приведений опір теплопередачі термічно неоднорідної непрозорої огороджувальної конструкції визначається за формулою:

(5.1.6)

де   F - загальна площа огороджувальної конструкції, м2 ;

Fі - площа і-ої термічно однорідної частини конструкції, м2 ;

kj – лінійний коефіцієнт теплопередачі j-го лінійного теплопровідного включення, Вт/(м х К);

Lj – лінійний розмір (проекція) j-го лінійного теплопровідного включення, м;

Ψk – точковий коефіцієнт теплопередачі k-го точкового теплопровідного включення, Вт/К;

Nk – загальна кількість k-х точкових теплопровідних включень, шт.

R∑і – опір теплопередачі і-ої термічно неоднорідної частини конструкції, (м2хК)/Вт, за формулою:

1

(5.1.7)

де αВ, αЗ – коефіцієнти тепловіддачі внутрішньої та зовнішньої поверхонь огороджувальних конструкцій, Вт/(м2 х К);

Rі – опір теплопередачі і-го шару конструкції, (м2хК)/Вт;

δі – товщина і-го шару конструкції, м;

λір – теплопровідність матеріалу і-го шару конструкції в розрахункових умовах експлуатації, Вт/(м х К);

n – кількість шарів огороджувальної конструкції.

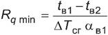
При розрахунку енергоефективності будівлі, для внутрішніх міжквартирних конструкцій, що розмежовують приміщення з різницею їх розрахункових температур більше ніж 4 0С, мінімально допустиме значення опору теплопередачі внутрішніх конструкцій [50]:

ф А1

(5.1.8)

де tв1, та  tв2 – розрахункові температури повітря в приміщеннях з поквартирним регулюванням теплоспоживання, 0С, що приймається згідно з [50], та в приміщеннях, що межують з приміщенням з поквартирним регулюванням теплоспоживання, 0С, що приймається за проектними даними;

ΔT– те саме, що Δθint-si,max в формулі (5.1.2);

αв1 – коефіцієнт тепловіддачі внутрішньої поверхні конструкції, Вт/(м2·К), що приймається згідно з ДСТУ Б В.2.6-189-2013.

 

5.1.2. Тепловологісний режим огороджувальних конструкцій.

Згідно нормативних вимог у приміщеннях громадських будівель і більшості промислових приміщень не допускається конденсація водяної пари на внутрішніх поверхнях огороджувальних конструкцій та накопичення вологи всередині них.

Вологісний режим приміщень вибирається за відносною вологістю їх внутрішнього повітря, за додатком Б у ДБН В.2.6-31:2021 [50].

Водяна пара конденсується на поверхні, що має температуру, нижчу від точки роси – критичної температури θD охолодження повітря при постійній вологості. Для уникнення конденсації потрібно щоб θsi,min > θD (для температури θsi,min на внутрішній поверхні огороджувальної конструкції) та θsi,min.X > θD (для температури θsi,min.X всередині огороджувальної конструкції в точці X). Якщо умова не забезпечується, то збільшують термічний опір (потовщують стіну, використовують кращий теплоізоляційний будівельний матеріал).

 

5.2. Розрахунок тепловтрат приміщень

 

Опалення слід проектувати з урахуванням теплового балансу між тепловтратами та теплонадходженнями, а саме:

а) утратою теплоти через огороджувальні конструкції;

б) витратою теплоти на нагрівання зовнішнього повітря, що потрапляє у приміщення за рахунок інфільтрації або шляхом організованого припливу для вентиляції приміщень;

в) витратою теплоти на нагрівання матеріалів, обладнання та транспортних засобів;

г) надходженням теплоти, що регулярно надходить у приміщення від електричних приладів, приладів освітлення, технологічного обладнання, трубопроводів, людей та інших джерел.

Утрату теплоти через внутрішні огороджувальні конструкції приміщень допускається не враховувати, якщо різниця температури повітря в цих приміщеннях не більше ніж 4 °С.

Теплове навантаження системи опалення визначається згідно з ДСТУ EN 12831-1:2017 [46].

Розрахунок тепловтрат приміщень полягає у визначенні тепловтрат через прозорі та непрозорі огороджувальні конструкції будівлі, яке виконується для кожного приміщення будівлі, згідно вимог [46, 50]. Далі, сумуються тепловтрати усіх приміщень, для визначення тепловтрат будівлі. Розрахунки зручно виконувати у табличній формі [1, 28, 46, 50 та ін.].

Тепловтрати кожного приміщення є вихідними даними до вибору потужності опалювальних приладів цього приміщення.

Для орієнтовного попереднього розрахунку тепловтрат житлової будівлі (для попередньої оцінки тепловтрат з метою підбору трубопроводів, обладнання та генератора тепла системи опалення) можна приймати розмір тепловтрат в межах 50-100 кВт/м2 опалюваної площі.

Загальні тепловтрати будівлі, отримані при розрахунку системи опалення, не повинні перевищувати допустимих за розрахунком енергоефективності будівлі, визначених для заданого класу енергетичної ефективності будівлі за питомою енергопотребою з [50, розд. 4].

 

5.3. Гідравлічний розрахунок теплопроводів системи опалення

Найпоширенішою основною та рекомендованою [52] системою опалення будівель, особливо житлових будинків, є водяна (рідше – парова, повітряна, пічна).

Поряд з основною можуть застосовуватись системи електро-, паро-, повітроопалення, як додаткові. Нижче наведено методику гідравлічного розрахунку трубопроводів систем водяного опалення. Цей розрахунок виконується після підбору і розрахунку опалювальних приладів. Аналогічними є методи розрахунку паро- та конденсатопроводів систем парового опалення [1, 26-30, 52 та ін.].

Для вибраної системи опалення будівлі виконуються проєктно-розрахункові роботи, із зведенням основних результатів у таблицю гідравлічного розрахунку трубопроводів та викреслюванням аксонометричної схеми системи опалення, за такою послідовністю.

1. На викреслених планах поверхів розташовуються опалювальні прилади, стояки, магістральні трубопроводи, розширювальний бак (в системах з природною циркуляцією), тепловий пункт (котел з обв'язкою).

2. Викреслюється розрахункова аксонометрична схема трубопроводів системи опалення (як правило, в масштабі планів).

На планах і на аксонометричній схемі (схемах) умовно позначаються усі конструктивні елементи та параметри.

3. На аксонометричній схемі вказуються теплові навантаження на кожен прилад. Теплове навантаження на стояк визначається як сума навантажень на прилади цього стояка.

4. Вибирається головне циркуляційне кільце системи (ГЦК) - з найменшим наявним циркуляційним тиском на 1 м довжини трубо-проводу (гідравлічно найневигідніше), для цього кільця виконується умова:

                    (5.3.1)

де    ,Па ‑ наявний циркуляційний тиск кільця;

        , м ‑ довжина кільця.

Як правило, в тупикових схемах однотрубних систем ГЦК проходить через найвіддаленіший стояк, через нижній прилад такого стояка – у тупикових схемах двотрубних систем.

Для схем з попутнім рухом теплоносія ГЦК проходить через один із середніх з найбільшим тепловим навантаженням стояків – у однотрубних системах; через нижній прилад такого стояка – у двотрубних системах.

Наведені правила вибору ГЦК справедливі для систем опалення із природною та примусовою циркуляцією.

5. ГЦК розбивається на розрахункові ділянки. Це частини трубопроводу системи з незмінними значеннями витрати теплоносія і діаметру труби. Для кожної ділянки визначається: порядковий номер; теплове навантаження; довжина ділянки.

6. Витрата води, що протікає по розрахунковій ділянці:

,       кг/с                            (5.3.2)

де  Q, Вт - теплове навантаження ділянки;

      , °С - перепад температур гарячого і охолодженого теплоносія в системі опалення; с, Дж / (кг К) – теплоємність теплоносія. Для води: с=41874190 Дж / (кг К).

У розрахункових таблицях записуються витрати води на ділянках у кг/год, тому розрахунки виконуються за формулою:

,   кг/год            (5.3.3)

де 3,6 - перевідний коефіцієнт з Вт у кДж.

Для орієнтовного переведення, при потребі, витрати G з кг у м3 отримане значення можна поділити на густину теплоносія , кг/м3, що відповідає температурі теплоносія на ділянці. Витрата охолодженої води, підмішуваної повторно з системи опалення в елеватор:

,   кг/год   (5.3.4)

де , кг/год - витрата води, що циркулює в системі опалення, в якій температури гарячої і охолодженої води в подавальній та зворотній магістралях та , 0С;

      , кг/год - витрата гарячої води, що поступає до елеватора з тепломережі, в якій температури гарячої і охолодженої води  і . Як правило,=;

     - сумарна витрата тепла системою на опалення, тобто теплове навантаження системи. Приймається з врахуванням тепловтрат трубопроводів.

7. Для вибраного головного циркуляційного кільця (ГЦК) визначається розрахунковий циркуляційний тиск .

а) У системах з природною циркуляцією води:

                                     (5.3.5)

де природний (гравітаційний) циркуляційний тиск:

                                (5.3.6)

 і додатковий природний циркуляційний тиск від охолодження води у трубопроводах:

                          (5.3.7)

Як правило,  визначають за графіками (таблицями), пропорційно відстані від головного стояка до розрахункового. У цій формулі:

g=9,8 м/с2 - прискорення вільного падіння;

i,j - порядкові номери в окремому стояку (двох стояках - для двотрубної системи) умовних точок охолодження, розташованих вертикально посередині приладу (і=1...m) або ділянки труби між приладами (j=1…n);

, м - висота від середини (по вертикалі) котла чи елеваторного вузла до відповідної умовної точки охолодження приладу або ділянки труби;

 та, кг/м3 - густина води при температурі води на вході та на виході  для приладу або ділянки труби.

У системах з примусовою (штучною) циркуляцією розрахунковий циркуляційний тиск:

   Па         (5.3.8)

де  - тиск, створений насосом чи елеватором додатково до природного  за формулою (5.3.5);

       Б – коефіцієнт, що враховує рекомендовану нормами частку від впливу природного циркуляційного тиску системи: для двотрубних 0,4-0,5, для однотрубних 1.

Для систем довільної довжини  можна орієнтовно приймати з умови:

,                                         (5.3.9)

де- сума довжин ділянок розрахункового кільця.

Природний тиск, менший 10 % від створюваного насосом, , у розрахунках не враховується: .

8. Визначається  - орієнтовна питома втрата тиску на тертя, що припадає на 1 м довжини кільця трубопроводу. За методом розрахунку трубопроводів за питомими втратами:

,       Па/м            (5.3.10)

де Т - частка втрат на тертя. Приймається: для систем з природною циркуляцією 0,5, з примусовою - 0,65;

9. Підбираються діаметри труб, ділянок за таблицею для гідравлічного розрахунку трубопроводів систем водяного опалення (таблиці з довідників, для заданих матеріалів трубопроводів системи опалення): для передбачуваного діаметру dу, мм, та відомої витрати води G, кг/год, визначається питома втрата тиску R, Па/м, та швидкість води у трубопроводі v, м/с (для малих діаметрів труб – підведень до приладів R приймають, як правило, значно меншим  та мінімальні швидкості, у інших випадках, враховуючи, що  величини R можуть бути більшими чи меншими від , а швидкості вибираються з умови : для dу, мм: <15; 15; 20; 25; 32;  максимально допустима швидкість, м/с, відповідно приймається: 0,25; 0,30; 0,65; 0,80; 1,0; 1,5.

Втрати тиску на тертя у трубопроводах за рівнянням Дарсі-Вайсбаха для втрат тиску по довжині:

    Па        (5.3.11)

де - коефіцієнт Дарсі;

     , м - довжина ділянки трубопроводу з незмінним внутрішнім діаметром d, м, густиною (питомою масою) , кг/м3, та швидкістю руху теплоносія , м/с;

     , Па - динамічний тиск теплоносія на ділянці;

     , Па/м - питомі втрати на тертя води зі стінками трубопроводу на ділянці.

10. Визначаються втрати тиску у місцевих опорах:

            Па             (5.3.12)

де - сума безрозмірних коефіцієнтів місцевих опорів, для систем водяного опалення – за довідниками.

Значення Z, як і , зручно знаходити за номограмами.

11. Знаходиться сума втрат тиску  і  для кожної ділянки, після чого знаходиться сума втрат тиску у системі , Па. Для головного циркуляційного кільця перевіряється умова:

               (5.3.13)

де  - з формули (5.3.8). Тобто, залишається запас у 5...10 % на невраховані в розрахунку гідравлічні опори.

Якщо умова (5.3.13) не виконується, то відповідно зменшуються (збільшуються) значення  і  на окремих ділянках циркуляційного кільця. Тобто, приймаються нові значення  і  окремих ділянок та знаходяться відповідні їм . Перевірка повторюється.

Розраховане за вищенаведеною послідовністю ГЦК приймається основним, з результатами його гідравлічного розрахунку узгоджуються відповідні значення  інших циркуляційних кілець системи. Кожне з циркуляційних кілець системи має спільні точки з ГЦК, в яких відбувається злиття або розподіл теплоносія. Тобто, у кожному з таких кілець є півкільця, одне з яких не розраховане, а інше співпадає з частиною ділянок ГЦК. Тому, .гідравлічно розраховуються і узгоджуються з ГЦК хоча б 2-3 півкільця системи. Тобто, має виконуватись умова:

       (5.3.14)

де 15 % - неузгодження втрат тиску у півкільціз втратами тиску на відповідній ділянці ГЦК .

Різницю тисків (неузгодженість) гасять, наприклад, кранами подвійного регулювання чи дроселювальною шайбою. У сучасних умовах, при модернізації існуючих систем а також для нових систем використовують автоматичні засоби врівноваження тисків на розрахункових ділянках магістралей, стояків, групи приладів [31, 32, 52 та ін.].

Якщо гідравлічний розрахунок є неповним (розраховано лише одну з приблизно рівнозначних віток), то, для його спрощення, на гідравлічно нерозрахованих ділянках приймають діаметри труб по аналогії до розрахованих ділянок. У важливих випадках чи при нерівнозначних вітках (за довжиною; тепловим навантаженням; втратами тиску) потрібно виконувати повний гідравлічний розрахунок усіх віток, півкілець системи.

Гідравлічний розрахунок зручно виконувати у табличній формі, приклади наведено у [1, 28 та ін].