Мета: Ознайомитись із базовими методиками дослідження
фотосинтезу.
Обладнання і матеріали: вегетуючі рослини
пшениці, ячменю, вівса, кукурудзи, технічні й аналітичні ваги, термостат, бюкси
або металеві стаканчики, рамка 0,5×0,5 м, лопатка, лінійка, міліметровий
та фільтрувальний папір, ножиці.
Визначення
чистої продуктивності фотосинтезу
Найбільший
приріст врожаю в посіві забезпечуються при оптимальному співвідношенні площі
листів у період її максимального розвитку й чистої продуктивності фотосинтезу
(ЧПФ).
Чиста продуктивність фотосинтезу відображає прибавку загальної біомаси
рослин за певний проміжок часу відносно показника середньої площі листків за
цей самий період і виражається в г/добу/м2
Інтенсивність різноманітних процесів у рослині різна в різну пору доби,
завдяки чому вона може пристосуватися до умов існування. Дослідження добових
змін у рослинному організмі є актуальним, оскільки дає можливість пристосувати
процеси догляду за рослиною до її добових потреб. Так, за зміною маси фотосинтезуючої частини листкової пластинки визначають
збільшення в ній сухої речовини за одиницю часу в різний час доби.
Є багато
різноманітних методів визначення інтенсивності фотосинтезу: газометричний, евдіометричний, манометричний методи та метод листкових
половинок Ю. Сакса.
Газометричний
метод ґрунтується на підрахункові кількості поглинутого вуглекислого газу або
виділеного кисню.
Евдіометричний метод полягає у визначенні
інтенсивності фотосинтезу за допомогою асиміляційної колби; розроблений Л. О.
Івановим та Н. Л. Косовичем.
Манометричний
метод використовують для визначення інтенсивності фотосинтезу в природних
умовах за допомогою польового приладу (ПСФ) за Х. М. Починком.
В умовах
навчально-польової практики доступним методом визначення продуктивності
фотосинтезу є метод листкових половинок Ю. Сакса. Сутність цього методу полягає
в тому, що за зміною маси фотосинтезуючої частини
листкової пластинки визначають збільшення в ній сухої речовини за одиницю часу.
Визначають чисту
продуктивність фотосинтезу, тобто накопичення сухої речовини за годину або добу
на одиницю площі листків. Але для визначення чистої продуктивності необхідно
паралельно визначати втрату сухої речовини на дихання і відтік асиміляторів.
Розрахунок
фотосинтетичного потенціалу фітоценозу (посіву)
ХІД РОБОТИ
1.
Ознайомитись із методикою визначення
чистої
продуктивності фотосинтезу
насаджень сільськогосподарських культур. Коротко
законспектувати.
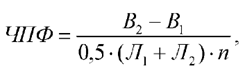
ЧПФ – це
показник, що позначає число грамів загальної сухої маси врожаїв, утворених 1 м2
площі листів у середньому протягом дня за проміжок часу в n (звичайно
5-7) днів. Визначають за формулою:

де В1
і В2 - суха маса рослин з 1 м2 фітоценозу на
початку й кінці обстеження відповідно;
- площа листів рослин з
тої ж площі фітоценозу
0,5 × (Л1 + Л2)
- середня площа листів (Л1 і Л2) на початку й наприкінці
обстеження;
n - кількість днів, коли проводять обстеження.
На
дослідних посівах беруть проби рослин. Для зменшення розкиду результатів у
пробу включають найбільш типові й однорідні для даного посіву й фази розвитку
екземпляри. У злаків, наприклад, беруть не менш п'ятдесятьох паралельних проб,
кожна з яких складається з 10-20 рослин.
У пробу
включають всі опалі й засохлі листи й пагони. Відібрані рослини позначають
етикетками, загортають у папір і переносять для
аналізу в лабораторію, де швидко розділяють на окремі органи й кожну частину
зважують.
Пожовтілі
або відмерлі листи враховують окремо. Подальша обробка матеріалу полягає в
доборі проб для визначення площі листів і сухої речовини в окремих органах
рослин.
Визначення площі листів
Якщо маса листів
невелика (50-100 г), площа найчастіше визначають ваговим методом шляхом
зважування контурів. Контур листа можна одержати, наклавши лист на міліметровий
папір і обвівши його олівцем. Якщо папір рівний по товщині й по масі, то,
знаючи вагу 1 см або 1 дм, можна визначити площу
листів, вирізуючи й зважуючи її відбитки. Попередньо потрібно переконатися в
тім, що вага декількох квадратиків (5 см ×
5 см), що вирізуються з паперу, однакова.
Визначення сухої маси
рослин здійснюють
шляхом відповідного розрахунку, знаючи сиру масу органів і вміст у них сухих
речовин. Для знаходження вмісту сухої речовини з рослинної маси кожної частини
(%) беруть дві-три порції матеріалу, поміщають у бюкси (або металеві
стаканчики), зважують і висушують у термостаті при 105 °С до постійної маси.
Завдання. Знайти ЧПФ, якщо сира
маса рослин на початку періоду (n = 5 днів) - 800 г (стебла - 500 г і листів -
300 г), а наприкінці - 1700 г (стебла - 800 г і листів - 900 г). Вміст сухих
речовин у листках 30 %, у стеблах - 20 %.
Площу листків визначити в цьому випадку виходячи з маси одиниці
площі листа лабораторної рослини.
2. Визначити та розрахувати фотосинтетичний
потенціал сільськогосподарських культур.
Спрощений
графічний метод визначення фотосинтетичного потенціалу фітоценозу або окремої
рослини полягає в знаходженні площі фігури, обкресленої кривою ходу росту площі
листів і осями ординат.
Фотосинтетичний
потенціал розраховують, помноживши площу фігури на ціну одного сантиметра масштабу по осі
ординат (напр. – 4000 м2 ) і
в днях осі абсцис (напр. – 5 днів ).
Отже,
продуктивність досліджуваного фітоценозу визначається роботою фотосинтетичного
потенціалу 2,3 млн м2 днів. Якщо біологічний урожай такого
фітоценозу становить, наприклад, 12 т, то середня за вегетаційний період чиста
продуктивність фотосинтезу дорівнює:
ЧПФ =
12000000 г / 2300000 м2 × доба = 5,02 г/м2 *доба

Рис. 12.1
Зміна фотосинтетичного потенціалу фітоценозу.
Завдання.
1. Визначити
фотосинтетичний потенціал однієї рослини буряка за вегетаційний період при
наступному ході росту площі листів: площа листів, м : 0,03; 0,07; 0,12; 0,20;
0,25; 0,35;0,45; 0,55; число днів від появи сходів: 10; 20; 30; 40; 50; 60; 70;
80. Знайти чисту продуктивність фотосинтезу, якщо вага рослини в момент
збирання 1050 г, а зміст сухих речовин 25 %.
2. Визначити
фотосинтетичний потенціал фітоценозу кукурудзи за вегетаційний період при
наступному ході росту площі листів: площа листів, тис. м : 3; 8; 15; 25; 30;
36; 40; 42; 43; 40; 37; 30; 25; число днів від появи сходів: 10; 20; 30; 40;
50; 60; 70; 80; 90; 100; 110; 120; 130. Знайти чисту продуктивність
фотосинтезу, якщо врожай силосної 119 маси становить 1100 ц/га (200 ц листів і
900 ц стебел з качанами). Вміст води в листах 70 %, у стеблах з качанами - 60
%.
3. Опрацювати відеоматеріали
(див. Табл.12.1).
4. Оформити висновки (для чого досліджують перебіг фотосинтезу рослин).
Таблиця 12.1
Інтернет-ресурси
|
№ |
Тема досліду |
Посилання на відеоматеріал |
|
|
Фотосинтез в дослідах. Дослід Сакса та дослід з вуглекислим газом |
https://www.youtube.com/watch?v=ctZMmzRvqe0 |
|
|
Спостереження і дослідження
фотосинтезу з використанням плаваючих листових дисків |
https://www.youtube.com/watch?v=lm58M95aU6c |
|
|
Розподіл
пігментів зеленого листка методом паперової хроматографії
|
https://www.youtube.com/watch?v=1x3smpFxvSA |
|
|
Вивчення
явища осмосу в бульбах картоплі
|
https://www.youtube.com/watch?v=XVOveFY7lvA |
|
|
Визначення інтенсивності фотосинтезу за
кількістю накопиченої сухої речовини (метод листкових половинок)
|
|
Контрольні питання:
1. Яка роль фототрофного
живлення рослин у біосфері?
2. Що таке фотосинтез? Його значення.
3. Які типи живлення рослин Вам відомі?
Опишіть, наведіть приклади.
4. Фотосинтетичні пігменти рослин (у т.ч. водоростей).
5. Стадії (фази) фотосинтезу.
6. Чиста продуктивність фотосинтезу- це …
7. Як дослідити ЧПФ?
8. Як визначити фотосинтетичний потенціал
посіву?