Практичне заняття №1. Визначення об’єму
складів
№1. Визначити діаметр циліндричного силосу для зберігання
цементу. Висота силосу h м. Треба зберігати (№варіанту)
т цементу. Насипна щільність цементу 1,3 т/м3. Коефіцієнт
заповнення силосу 0,9.

№2. Визначити кількість циліндричних силосів,
які входять до складу цементу ємкістю 50
(№варіанту) т. Висота
силосної банки h м, діаметр b м.
Насипна щільність цементу 1300 кг/м3
. Коефіцієнт заповнення силосу 0,9.
№3. Визначити площу складу піску ємкістю 30
(№варіанту) т. Насипна
щільність піску 1300 кг/м3 . Кут відкосу 45°.
№4.
Розрахувати в залежності від класу бетону та його потреби кількість складів
цементу та заповнювачів (за видами і фракціями), визначити місткість складів
для сировинних матеріалів.
Зміст роботи: розрахунок місткості і кількості складів
бункерного типу для цементу, піску, щебеню,
керамзиту.
Поради до виконання роботи:
1. Кількість сипучих матеріалів що зберігаються окремо на
складі, визначається видом і маркою бетону, продуктивністю та режимом роботи
підприємства, умовами поставки матеріалів , видом транспорту, режимом його
роботи, відстанню транспортування і розраховується за формулою:
QСК = Qпл х Hзап х K1 х K2
де QСК – кількість певного типу сировинних матеріалів, які необхідно
зберігати на складі, м3 або тонн.
Qпл – кількість матеріалу,
необхідного для виробництва заданого об’єму готової продукції підприємством за
одну добу, м3 або тонн;
Hзап – норма запасу матеріалу на
складі, діб, ОНТП-07-85
K1 – Коефіцієнт
нерівномірності надходження матеріалів на складі рівний 1,5 для залізничного і
1,3 для автомобільного транспорту (ОНТП 07-85)
K2 – коефіцієнт нерівномірності споживання на підприємстві
матеріалів, рівний 1,5.
2. При визначенні
габариті і місткості складів враховується кількість і вид матеріалу,
призначеного для зберігання, норма складування, а також спосіб здійснення навантажувально-розвантажувальних робіт на складі
3.
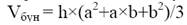
Місткість складів бункерного типу, що використовується для зберігання
заповнювачів і цементу визначається за формулою:
![]()
Де h – висота
бункера, м;
a – довжина
сторони верхнього квадратного отвору, м;
b – довжина
сторони випускного отвору, м.
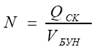
4. Кількість
бункерів, потрібних для зберігання необхідної кількості конкретних матеріалів
за видами і фракціями визначається за формулою:

де
N – кількість бункерів,
Vбун – місткість бункера, м3
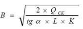
5. Для забезпечення достатнього фронту
робіт під час розвантаження заповнювачів штабельного типу, які прибувають на
склад, розраховується довжина розвантажувального фронту, яка не повинна бути
більшою, ніж довжина складу.
![]()
де L – довжина розвантажувального
фронту, яка дорівнює довжині штабельного складу для зберігання конкретного виду
матеріалу, м;
Птр – кількість
одночасно розвантажувальних транспортних засобів;
l – довжина
транспортного засобу, м (для залізничного – 24; автомобільного – 6.)
С –
відстань між транспортними засобами при встановлені їх під розвантаження, яка
становить для залізничного - 1,5 м;
для автомобільного – 1 м при встановленні автомобілів перпендикулярно до
фронту розвантаження і 2,5 м – при встановленні їх вздовж фронту
розвантаження;
6. Ширину
штабельного складу для зберігання конкретного матеріалу визначають за формулою:

де: В – ширина складу, м
К – коефіцієнт використання площі складу, який дорівнює 0,8;
–
кут природнього нахилу матеріалу, який умовно прийнятий однаково для піску,
щебеню і керамзиту і дорівнює 450.
Таблиця 1.1
